Hola, tengo el siguiente ejericio: Determinar el valor de la constante a para que la función sea continua en todos los reales:
Entonces
intento aplicar la definicion que dice que el limite de x->a tiene
que ser iguar a la imagen de esa función en a, con lo que me queda el
limite de la fracción con x->3 igualado a 3, despejo y me da que a=0,
alguien me puede decir si lo estoy haciendo bien o en que me equivoco ?
Gracias
Necesito ayuda! Un barco navega a 15 millas en dirección 40° 10' SO despues de 21 millas en dirección 28° 20' NO. Encontrar a que distancias está del punto de partida.

Considera que la dirección Oeste-Este es el eje OX, con sentido positivo hacia el Este, y que la dirección Sur-Norte es el eje OY, con sentido positivo hacia el Norte.
Luego, plantea las componentes de los vectores que representas los desplazamientos del barco, a partir de su punto de partida en el que ubicamos el origen de coordenadas:
u = OA = < -15*cos(49°50') , -15*sen(49°50') >,
v = AB = < -21*cos(61°40') , 21*sen(61°40') >.
Luego, plantea el desplazamiento resultante (desde el punto O hasta el punto B):
d = u + v, reemplazas expresiones y queda:
d = < -15*cos(49°50') , -15*sen(49°50') > + < -21*cos(61°40') , 21*sen(61°40') >,
sumas componente a componente, y queda
d = < -15*cos(49°50') -21*cos(61°40') , -15*sen(49°50') +21*sen(61°40') >,
resuelves términos en las componentes, y queda:
d ≅ < -9,6752 -9,6666 , -11,4626 +18,4842 >,
resuelves componentes, y queda:
d ≅ < -19,3418 , 7,0216 >.
Luego, solo queda que calcules el módulo del desplazamiento, que es la distancia entre el punto inicial y el punto final de la trayectoria del barco.
Espero haberte ayudado.
Hola buen dia, me podrian ayudar con este ejercicio
las instrucciones son: Para cada una de las siguientes funciones encuentre los puntos críticos. Indique luego si en estos hay máximo, mínimo, punto de silla o si el criterio de la segunda derivada no proporciona información, ya me dan la respuesta pero quisiera saber el procedimiento

¡Hola! Nos encantaría ayudarte, pero no solemos responder dudas universitarias que no tengan que ver específicamente con los vídeos que David Calle ha grabado como excepción. O de otras asignaturas que no sean Matemáticas, Física y Química. Lo sentimos de corazón… Esperamos que lo entiendas.
Ojalá algún unicoo universitario se anime a ayudarte (de hecho, lo ideal es que todos los universitarios intentarais ayudaros los unos a los otros).

c)
Observa que la función es continua, y que admite derivadas parciales primeras y segundas, todas continuas, en R2.
Luego, plantea las expresiones de las derivadas parciales primeras:
fx = 4 - 2x + y
fy = 2 + x - 2y.
Luego, plantea las expresiones de las derivadas parciales segundas:
fxx = - 2 < 0
fxy = 1
fyx = 1
fyy = - 2,
y observa que las cuatro derivadas parciales segundas son funciones constantes.
Luego, plantea la condición de punto estacionario:
fx = 0
fy = 0;
sustituyes expresiones y queda el sistema de ecuaciones:
4 - 2x + y = 0
2 + x - 2y = 0,
haces pasajes de términos numéricos, y queda:
- 2x + y = - 4, aquí haces pasaje de término, y queda: y = 2x - 4 (1)
x - 2y = - 2,
luego sustituyes la expresión señalada (1) en la segunda ecuación, distribuyes y queda:
x - 4x + 8 = - 2, haces pasaje de término, reduces términos semejantes, y queda:
- 3x = - 10, haces pasaje de factor como divisor, y queda: x = 10/3,
luego reemplazas en la ecuación señalada (1) y queda: y = 8/3,
por lo que tienes que el punto estacionario es: A(10/3,8/3).
Luego, plantea el discriminante hessiano:
D(x,y) = fxx*fyy - fxy*fyx, evalúas para el punto estacionario, y queda:
D(10/3,8/3) = (-2)*(-2) - 1*1 = 4 - 1 = 3 > 0,
luego, por el criterio de las derivadas segundas, y teniendo en cuenta que el discriminante es positivo y la derivada parcial segunda es negativa para el punto estacionario, puedes concluir que la función alcanza un máximo relativo en el punto A(10/3,8/3).
Espero haberte ayudado.
Hola me podrian ayudar con este ejercicios, tengo que hacer varios de ese tipo y queria un ejemplo de como poder resolverlo.

¡Hola! Nos encantaría ayudarte, pero no solemos responder dudas universitarias que no tengan que ver específicamente con los vídeos que David Calle ha grabado como excepción. O de otras asignaturas que no sean Matemáticas, Física y Química. Lo sentimos de corazón… Esperamos que lo entiendas.
Ojalá algún unicoo universitario se anime a ayudarte (de hecho, lo ideal es que todos los universitarios intentarais ayudaros los unos a los otros).

Observa que la función es continua, y que admite derivadas parciales primeras y segundas, todas continuas, en R2.
Luego, plantea las expresiones de las derivadas parciales primeras:
fx = 2x + 2y + 2
fy = 2x + 6y + 10.
Luego, plantea las expresiones de las derivadas parciales segundas:
fxx = 2 > 0
fxy = 2
fyx = 2
fyy = 6,
y observa que las cuatro derivadas parciales segundas son funciones constantes.
Luego, plantea la condición de punto estacionario:
fx = 0
fy = 0;
sustituyes expresiones y queda el sistema de ecuaciones:
2x + 2y + 2 = 0
2x + 6y + 10 = 0,
divides por 2 en todos los términos de ambas ecuaciones, haces pasajes de términos numéricos, y queda:
x + y = - 1, aquí haces pasaje de término, y queda: y = - x - 1 (1)
x + 3y = - 5
luego sustituyes la expresión señalada (1) en la segunda ecuación, distribuyes y queda:
x - 3x - 3= - 5, haces pasaje de término, reduces términos semejantes, y queda:
- 2x = - 2, haces pasaje de factor como divisor, y queda: x = 1,
luego reemplazas en la ecuación señalada (1) y queda: y = - 2,
por lo que tienes que el punto estacionario es: A(1,-2).
Luego, plantea el discriminante hessiano:
D(x,y) = fxx*fyy - fxy*fyx, evalúas para el punto estacionario, y queda:
D(1,-2) = 2*6 - 2*2 = 12 - 4 = 8 > 0,
luego, por el criterio de las derivadas segundas, y teniendo en cuenta que el discriminante es positivo y la derivada parcial segunda es positiva para el punto estacionario, puedes concluir que la función alcanza un mínimo relativo en el punto A(1,-2).
Espero haberte ayudado.
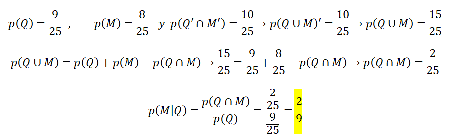
Hola a todos, primero quiero agradecer se Angel por la ayuda con este ejercicio, tengo otra duda, si el enunciado no me dice que los sucesos son dependientes como me doy cuenta porque la intersección de sucesos independientese es P (anb)=P (a).P (b) y para sucesos dependientes es P(anb)=P (a/b).P (b). Gracias![]()
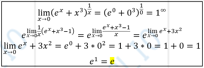
-------------------- Limites --------------------
lim (e^x+x^3)^1/x
x-->0
Adelanto que la rta es e.
Mi resolución.
lim (e^x+x^3)^1/x
x-->0
lim (1+ e^x+x^3 -1)^ (1 / (e^x+x^3 -1) ) ( ( e^x+x^3 -1) / (1) ) (1/x)
x-->0
e^lim ( e^x+x^3 -1) / x x-->0e^lim ( (e^x)/x+(x^3)/x -1/x) )/ (x/x) x-->0e^lim ( (e^x)/x + x^2 - 1/x) ) x-->0L'hopitalf(x) = (e^x)/x + x^2 - 1/x)f'(x)=e^x(x^-1) + 2x - x^-1 ---------- No sigo a partir de acá porque algo debo estar haciendo mal y no me doy cuenta.Hola me podrían ayudar con este problema de probabilidad?. Se que tengo que usar eventos independientes, pero no se como hacerlo.
Desde ya gracias