Hola como están ? estoy haciendo ejercicios de conjuntos y me apareció un signo medio parecido a ,estrictamente incluido pero no lo es. Alguien me podría decir que signo es. Porque lo busque en .todos lados y no doy con el símbolo. Es el ejercicio c)
Muchas gracias.
Bueno, aquí hago otra consulta aparte de éste ejercicio, al cuál no termino de encontrar el punto de intersección entre la parábola y la recta.
Sean P y Q los puntos de corte entre el gráfico de F(x)=2x+7 y G(x)=2x^2+2x-11. Hallar la ecuación de la función cuadrática h cuyo gráfico pasa por P y Q y la ecuación del eje de simetría es x=4.
Lo que yo hice fue igualar ecuación y parábola, aunque ello me dio una ecuación cuadrática incompleta. Pensé que reemplazando la x con el 4 me daría, aunque no me da como tal el ejercicio. Mi pregunta es: ¿qué procedimiento debo hacer para que esta recta y esta parábola se crucen en el eje x=4?
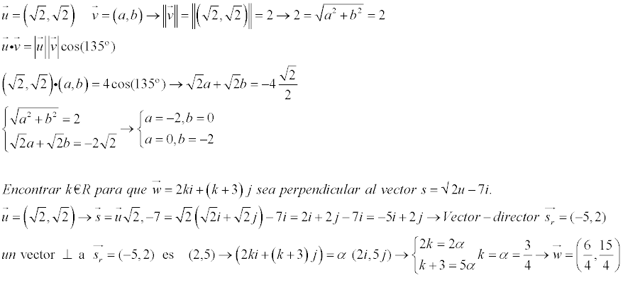
Hola, ¿qué tal? Tengo una duda de como hacer éste ejercicio de vectores:
Sea u=√2i+√2j a) Hallar un vector v que tenga la misma norma que u y forme un ángulo de 135 grados con el semieje positivo del antihorario). b)Encontrar k€R para que w=2k+(k+3)j sea perpendicular al vector s=√2u-7i.
Exactamente, ¿qué es lo qué debo hacer para sacar todas las incógnitas? Pensé que al ser un ángulo de 45 grados, v podría ser x=y, aunque juro que no logro captar como sacar todas estas incógnitas.
Hola unicoos,en este caso queria preguntar si esta probabilidad condicionada es dependiente o independiente? Por que segun eso cambian las formulas para uno u otro! Muchas gracias de ante mano!
Supongamos que se dispone de un grupo de 230 perros clasificados segun 2 atributos: raza y caracter, 30 fueron doberman y agresivos y 60 Doberman no agresivos; de los Dogos,60 resultaron agresivos y 10 no agresivo; de los Pastores Alemanes,30 fueron agresivos y no agresivos 40
a) ¿Cual es la probabilidad que el segundo sea Pastor Aleman habiendo sido el primero Doberman?

Es sobre diagrama del arbol y probabilidad total... Echale un vistazo a este video y trata de construir el arbol adecuado.. Probabilidad total - Diagrama de árbol
Nos cuentas ¿ok?
Unicoos como seria esto??
Segun un informe metereologico,se pronostica para mañana una probabilidad de lluvia de 0,40 y de 0,70 de que haga frio.Si ambos sucesos son independientes:
a)¿Cual es la probabilidad de que mañana llueva o haga frio?
b) ¿Cual es la probabilidad de que mañana no llueva ni haga frio?
hola unicoos, queria saber si en este ejercicio:
los valores de a son todos los reales y b=1 y si no es asi, como se desarrolla este ejercicio?
Como seria esto??
En nuestra facultad en segundo año,el 30% de los estudiantes no regularizan la materia Botanica Mrfologica,el 25% no regularizan estadistica y Diseño experimental y el 20% mo regularizan ambas materias.Si se selecciona un alumno de segundo añ al azar:
a) Si no regularizo estadistica,¿Cual es la probabilidad de que no regularice Botanica?
b) Si no regularizo Botanica,¿Cual es la probabilidad de que no regularice Estadistica?
c) ¿Cual es la probabilidad de que no regularice Estadistica o botanica?
P(A)= no regularizar la materia Botanica Mrfologica= 0.3
P(B)= no regularizar la materia Estadisticaydiseñoexperimental= 0.25
P(A∩B)= no regularizar las materia Botanica Mrfologica y Estadisticaydiseñoexperimental= 0.2
a) P(A|B)= P(A∩B) / P(B) = 0.2/ 0.25 = 4/5= 0.8
b) P(B|A)= P(A∩B) / P(A) = 0.2/ 0.3 = 2/3= 0.6666....
c) P(A U B)= P(A)+P(B)-P(A∩B) = 0.3+0.25-0.2= 0.35 = 7/20
Hola, unicoos esto como seria? Muchas gracias de ante mano!!
La probabilidad de que un animal macho viva dentro de 15 años es de 3/5, y la probabilidad de que una hembra viva dentro de 15 años es de 2/3.Hallar la probabilidad de que ,dentro de 15 años:
a) Vivan ambos
b)Viva solamente el macho
c) Viva solamente la hembra
d)Viva al menos uno
a) Vivan ambos = 3/5 * 2/3 = 6/15 = 2/5
b)Viva solamente el macho = 3/5 *(1- 2/3) = 3/5 * 1/3 = 3/15 = 1/5
c) Viva solamente la hembra = 2/3*(1 - 3/5)= 2/3* 2/5 = 4/15
d)Viva al menos uno = Viva solamente el macho+Viva solamente la hembra+Vivan ambos= 2/5 + 1/5 + 4/15 = (6+3+4)/15= 13/15
Producto Mixto ( Vectores 3d )
Buenas a todos, tengo una consulta sobre el producto mixto ( vectorial)
Si bien se puede calcular por u*( V x W ) o por determinante, donde u,v,w son vectores 3d
1.- ¿ Como se en que orden lo coloco los vectores en el determinante si se sabe que el cambiar el orden afecta su valor?
2.- ¿Como se cuales son los vectores a los que debo aplicar el producto cruz ?
Gracias de antemano
mil disculpas copie mal el enunciado ahora esta bien una ayuda xfa que no sea por el método de lhopital