Foro de preguntas y respuestas de Matemáticas

logo beUnicoos
Los foros de unicoos se han unificado en nuestra nueva plataforma beUnicoos. Para dejar nuevas preguntas deberás hacerlo allí, donde además podrás encontrar nuevas asignaturas y herramientas para ayudarte más con tus estudios.

  • icon

    Daniel202
    el 17/9/17
    flag

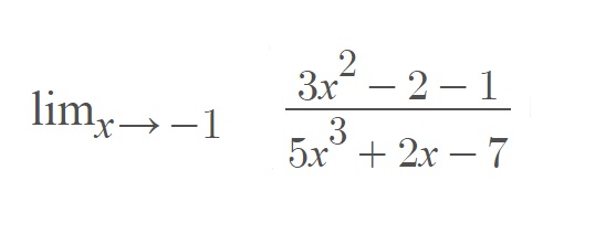
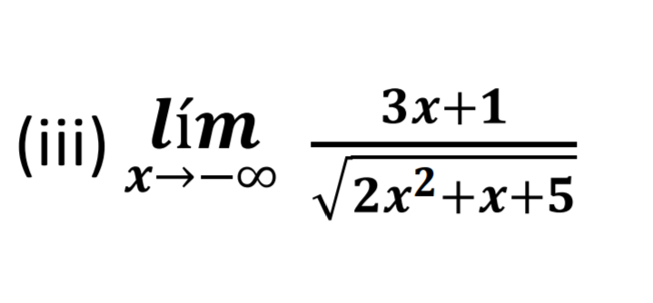
    Podrían ayudarme con este ejercicio por favor?
    pero que no sea por el método de L'hopital porque a mi docente  no le gusta ese método. salu2

    replythumb_up0 voto/sflag
    icon

    Ángel
    el 17/9/17

    No se necesita ningún método, sustituyendo directamente la x por -1 obtienes 0/(-14)= 0

    thumb_up0 voto/sflag
    icon

    Ángel
    el 17/9/17

    Dos enunciados con más sentido serían:

    lim(x->+1) [(3x2-2-1)/(5x3+2x -7)]

    lim(x->-1) [(3x2-2-1)/(5x3+2x +7)]


    Consulta a tu docente si es un error o no.

    thumb_up0 voto/sflag
    icon

    Daniel202
    el 18/9/17

    es cierto me equivoque no era a -1 era a +1

    thumb_up0 voto/sflag
    icon

    Ángel
    el 18/9/17

    lim(x->+1) [(3x2-2-1)/(5x3+2x -7)] 

    Utilizando la fórmula de segundo grado en el numerador y Ruffini en el denominador obtenemos:

    lim(x->+1) [3(x+1)(x-1)]/ [(x-1)(5x2+5x +7)] 

    Eliminamos factor (x-1) arriba y abajo:

    lim(x->+1) [3(x+1)]/ [(5x2+5x +7)] 

    Sustituyendo x por 1 obtenemos:

    6/17


    thumb_up0 voto/sflag
  • icon

    elkin eliecer moreno
    el 17/9/17

    Unicos ayuda con el 25 y 27, gracias de antemano



    replythumb_up0 voto/sflag
    icon

    Ángel
    el 17/9/17

    25.

    4m=42    -------> m=4


    26.

    lim(x->2+) (x2-4)/(x-2) = lim(x->2+) [(x-2)(x+2)]/(x-2) =   lim(x->2+) [(x-2)(x+2)]/(x-2) = 4


    lim(x->2-) (x2-4)/(x-2) = lim(x->2+) (x2-4)/(x-2) = 4 = m


    thumb_up1 voto/sflag
    icon

    Ángel
    el 17/9/17

    27.

    3m=n=3  --------->  m=1 , n=3


    28.

    m-n=5=2m+n  ---------> m=5+n   y   m=(5-n)/2 ----------->  5+n=(5-n)/2   ------->  10+2n=5-n    ---------->  n= -5/3


    m-n=5   ------>  m= 5-(-5/3)    ----------->   m= 5+ 5/3 = (15+5)/3 =  20/3 = m

    thumb_up1 voto/sflag
  • icon

    Lola
    el 17/9/17

    Unicoos como seria estoo??? No logro entenderlo bien!

    Definir el espacio muestral original,su cardinal,el espacio muestral (rango de valores) de la variable aleatoria; su cardinal y si es discreta o continua.

    a) Se tiran dos dados balanceados. X= diferencia entre los valores obtenidos. Y= maximo de los valores obtenidos.

    replythumb_up0 voto/sflag
    icon

    Ángel
    el 18/9/17

    A={a1,a2,a3,a4,a5a6}= {1,2,3,4,5,6}   

    Cardinal=|A|=6

    en general, am con m{1,2,3,4,5,6}


    B= {b1,b2,b3,b4,b5,b6}={1,2,3,4,5,6}

    |B|=6

    en general, bncon n{1,2,3,4,5,6}


    X= diferencia de los valores obtenidos = {0,1,2,3,4,5}= Espacio muestral

    cardinal de X= 6

        elemento xm,n=   |am-bn|  <----- Valor absoluto


    Y= maximo de los valores obtenidos = {1,2,3,4,5,6}=Espacio muestral

    cardinal de Y= 6


    Tanto en X como en Y hay 36 elementos, y 6 valores diferentes (tanto en X como en Y)


    thumb_up0 voto/sflag
    icon

    Ángel
    el 18/9/17


    thumb_up0 voto/sflag
    icon

    Ángel
    el 18/9/17


    thumb_up0 voto/sflag
    icon

    Ángel
    el 18/9/17


    thumb_up0 voto/sflag
  • icon

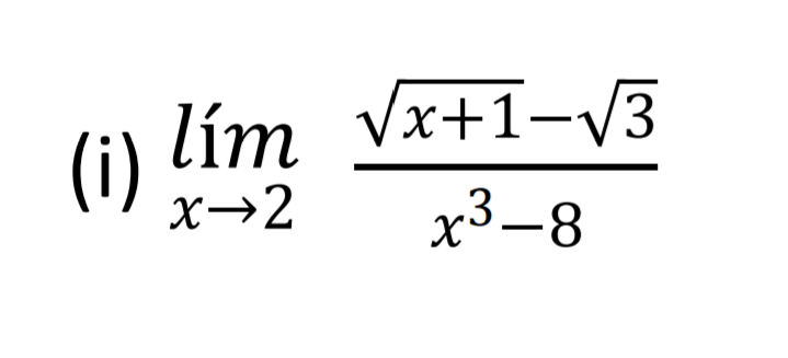
    Rosario
    el 17/9/17

    Hola unicoos! Me podrían ayudar a resolver este límite? Gracias!!

    replythumb_up0 voto/sflag
    icon

    Ángel
    el 17/9/17

    Aplicas L´Hopital al enunciado y obtienes:

    lim(x->2) 1/2√(x+1) : 3x2 =

    lim(x->2) 1/[3x2*2√(x+1)] =

    1/(24√3)

    thumb_up0 voto/sflag
    icon

    Axel Morales Piñón.
    el 17/9/17


    thumb_up1 voto/sflag
    icon

    Rosario
    el 17/9/17

    Pero arriba quedaría (2+1) -3 cuando sustituís, eso no daria cero? Y por ende, el resultado del limite también?

    thumb_up0 voto/sflag
    icon

    Ángel
    el 18/9/17

    No se sustituye todavía, porque como bien dices seguiría siendo una indeterminación 0/0

    Se hace esto:

    (x+1)-3 = (x-2)

    Observa que en el denominador también está el factor (x-2)


    Eliminas (x-2) del numerador y el denominador...ahora ya sí puedes sustituir y obtener el resultado final.

    thumb_up1 voto/sflag
  • icon

    Rosario
    el 17/9/17

    Hola unicoos! Me podrían ayudar a resolver este límite? Gracias!!

    replythumb_up0 voto/sflag
    icon

    Antonius Benedictus
    el 18/9/17


    thumb_up1 voto/sflag
  • icon

    Rosario
    el 17/9/17

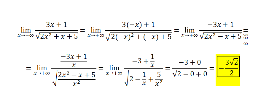
    Hola unicoos! Me podrían ayudar a resolver este límite? Gracias!!

    replythumb_up0 voto/sflag
    icon

    Antonius Benedictus
    el 18/9/17


    thumb_up1 voto/sflag
  • icon

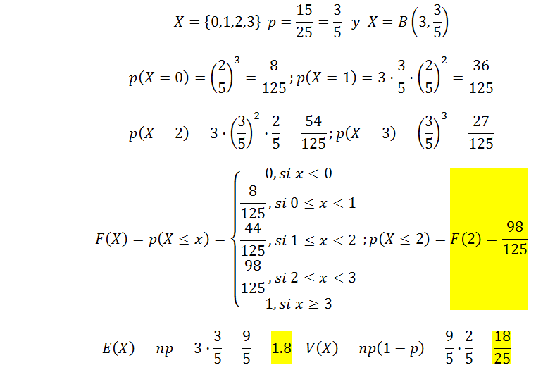
    Lola
    el 17/9/17

    Hola Unicoos,me podrian ayudar con esto?? Muchas gracias!!!!

    En un campo hay 25 animales:15 shorthorn y 10 Aberdeen Angus.Si se toman al azar 3 animales,con reposicion:

    a)¿Que valores toma la variable aleatoria X: N° de Shorthorn? 

    b)Hallarlas funciones de cuantia y de distribucion de dicha variable.Explicitarlas correctamente.

    c)¿Cual es la probabilidad de encontrar como minimo 2 shorthorn?
    d) Calcular el valor esperado de X y su varianza (E(X) Y V(X))

    replythumb_up0 voto/sflag
    icon

    Antonius Benedictus
    el 17/9/17


    thumb_up1 voto/sflag
  • icon

    ana
    el 17/9/17

     porfavor me podrian ayudar gracias ...estos ejercicios  me faltan les agradesco po su ayuda 

    replythumb_up0 voto/sflag
    icon

    César
    el 17/9/17

  • icon

    ana
    el 17/9/17

    aqui esta la captura originall ....... gracias 

    replythumb_up0 voto/sflag
    icon

    Antonius Benedictus
    el 17/9/17


    thumb_up0 voto/sflag