hola buenasb tardes, tengo dudas con este ejercicio no se como seguir, me dio que 3 es valor propio con multiplicidad algebraica y su geometrica me dio que era 2, los vectores que obtuve son (-2,0,1) y (3,0,1) pero al reemplzar para obtener mi tercer vector , el sistema me queda incompatible y no se seguir...![]()
Hola, alguien me puede ayudar? Por favor?
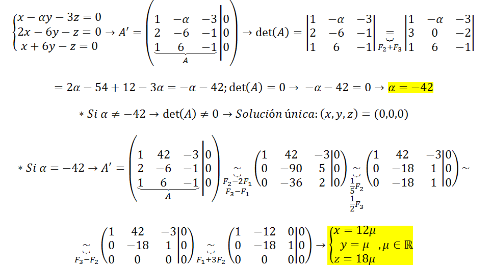
Enunciado: Calcula el valor de landa para que la solución sea diferente a la trivial.
Buenos dias
una ayuda con este ejercio
determine el angulo central neesario para formar un sector de 14.6cm2 de area en un circulo de 4.85cm de radio
Resp. 1.24 rad o 7105° o 71°3´
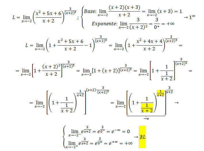
me podrian decir en donde estoy fallando o si estoy bien, por favor quiero estar seguro se les agradece mucho
k=1/2 r2θ por lo tanto r=√2k/θ r=√2(14.6)/4.85 r=√2(15)/4.85 r=√30/4.85=2.48cm
diametro= 2.48cm 2.48/2=1.24rad respuesta
Buenas!
tengo éste ejercicio "atragantado"... si alguien me echa una manita! por favor!
En una prueba de pentatlón tres atletas han obtenido las siguientes puntuaciones por orden de pruebas. El primer atleta ha obtenido 8, 7, 6, 5, 6 puntos respectivamente; el segundo ha obtenido 6, 4, 6, 3, 10 y el tercero 9, 6, 7, 2, 5. La ponderación de cada prueba varía según el jurado que califique de manera que tres jurados distintos darían las siguientes calificaciones a cada prueba. El primer jurado puntúa todas las pruebas con dos puntos cada una, el segundo puntúa 1, 3, 2, 2, 2 respectivamente y el tercero 1.5, 2, 3.5, 1.5, 1.5. Entonces dependiendo del jurado que los califique tendríamos diferentes resultados. Obtener todos los posibles resultados.
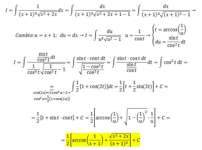
Hola estoy empezando con las integrales y hay tres que se me resisten, no sé cómo hacerlas. ¿me pueden ayudar, por favor?

1)
Aplica la sustitución (cambio de variable):
1 - √(x) = w, en la que diferencias y queda:
- 1/(2√(x))dx = dw, y de aquí despejas: 1/√(x) = - 2dw.
Luego, sustituyes y la integral queda:
∫ (1/w)*(-2dw) = - 2 ∫ (1/w)dw = - 2*ln|w| + C = - 2*ln|1 - √(x)| + C.
2)
Aplica la sustitución:
lnx = w, en la que diferencias y queda:
(1/x)dx = dw.
Luego, sustituyes y la integral queda:
∫ w*dw = (1/2)*w2 + C = (1/2)*(lnx)2 + C = (1/2)*ln2x + C.
3)
Aplica la sustitución:
3*x = w (1), en la que diferencias y queda:
3*dx = dw, multiplicas por 1/3 en ambos miembros y queda: dx = (1/3)*dw.
Luego, sustituyes y a integral queda:
(1/3) ∫ sen(w)*cos(w)*dw =
multiplicas por (1/2) y por 2, y queda:
= (1/6) ∫ 2*sen(w)*cos(w)*dw =
aplicas la identidad trigonométrica del seno del doble de un ángulo en el argumento de la integral, y queda:
= (1/6) ∫ sen(2*w)*dw = (*),
aplicas la sustitución:
2*w = p (2), en la que diferencias y queda:
2*dw = dp, multiplicas por 1/2 en ambos miembros y queda: dw = (1/2)*dp,
luego sustituyes y queda:
(*) = (1/6) ∫ sen(p)*(1/2)*dp =
extraes el factor numérico, integras y queda:
= (1/12)*( - cos(p) ) + C =
resuelves el primer término y queda:
= - (1/12)*cos(p) + C =
sustituyes la expresión señalada (2) y queda:
= - (1/12)*cos(2*w) + C =
sustituyes la expresión señalada (1) y queda:
= - (1/12)*cos(2*3*x) + C =
resuelves el producto numérico en el argumento del coseno y queda:
= - (1/12)*cos(6*x) + C.
Espero haberte ayudado.