Hola necesito ayuda con este sistema de ecuaciones. He calculado 2 veces pero me da resultados incorrectos.

Hola ajay, me salen soluciones
x=0, y=5
x=-1, y=2
si despejas de la primera tienes y=3*(raiz de x+1) +2
sustituyes en la segunda y te queda : 3x+ # 3*(raiz de x+1)+2# = -1 ( lo que esta entre # es la "y"de arriba)
para simplificar un poco divides cada termino entre 3, te queda: x+(raiz de x+1)=-3
te aconsejo separar el radicando en un solo lado de la ecuacion, ya que si haces identidad notable te volvera a salir la raiz.
luego... (raiz de x+1)=-(x+1)
elevas al cuadrado en ambos lados de la ecuacion
x+1=x^2+2x+1
separando y simplificando te queda un factor comun del tipo : x^2+x=0
soluciones de x: 0 y -1
para averiguar y de cada par sustituyes en cualquiera de las ecuaciones la x
espero que te sirva explicado a groso modo
un saludo
me cuesta mucho trabajo las identidades trigonométricas , algun truco o consejo para ayudarme ( a parte de saberse las formulas)
Hola buenas tardes.
como sumaria esta serie con el metodo de la derivada?
ξ de n=2 a inf: (x+3)^n
-----------
n^2-1
(Sumatorio de n=2 hasta infinito, de x mas tres elevado a n, entre n elevado al cuadrado menos uno)
ya que estamos el intervalo de convergencia me da (4,2) abierto
muchas gracias
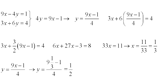
No consigo terminar este sistema de ecuaciones. Por el sistema de sustitucion.
9x-4y=1
3x+6y=4