Foro de preguntas y respuestas de Matemáticas

logo beUnicoos
Los foros de unicoos se han unificado en nuestra nueva plataforma beUnicoos. Para dejar nuevas preguntas deberás hacerlo allí, donde además podrás encontrar nuevas asignaturas y herramientas para ayudarte más con tus estudios.

  • icon

    Maria
    el 29/8/17

    Hola! Me podrian derivar esta función?

    F(x)=(3x+1)2 •e3x-1

    replythumb_up0 voto/sflag
    icon

    Ángel
    el 29/8/17

    f´(x)= 2*(3x+1)*3*e3x-1+(3x+1)2*3e3x-1=     (3x+1)*3e3x-1*[2+(3x+1)]

    thumb_up0 voto/sflag
  • icon

    Maria del castillo
    el 29/8/17

    Hola!

    ¿alguien podría ayudarme?

    Necesito el polinomio de Taylor de Tg(x)

    replythumb_up0 voto/sflag
    icon

    Antonius Benedictus
    el 29/8/17

    http://caminos.udc.es/info/asignaturas/grado_itop/102/pdf/DocsApoyo/Tema4_FR/90DesarrDeduc.pdf

    thumb_up0 voto/sflag
  • icon

    alvaro
    el 29/8/17

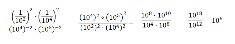
    Alguien me ayuda con este problema? Gracias 

    replythumb_up0 voto/sflag
    icon

    Ángel
    el 29/8/17

     [(10-2)2*(10-4)2]÷ [(104)-2*(105)-2]

             [10-4*10-8]÷ [10-8*10-10]

                  10-12       ÷     10-18

                    10-12    *    1018

                             106

    thumb_up0 voto/sflag
    icon

    Alba
    el 29/8/17


    thumb_up0 voto/sflag
  • icon

    Carmen
    el 29/8/17

    También necesito ayuda al plantear este:

    En el garaje de un edificio hay 15 vehículos, entre coches y motos, con un total de 54 ruedas. ¿Cuántos vehículos de cada clase hay?


    replythumb_up0 voto/sflag
    icon

    Ángel
    el 29/8/17

    x=coches

    y=motos


    x+y=15

    4x+2y=54


    -4x-4y=-60

     4x+2y=54

    ----------------

          -2y=-6

            y=3

    y= 3 motos


    x+3=15

    x= 12 coches

    thumb_up0 voto/sflag
  • icon

    Carmen
    el 29/8/17

    Me podéis ayudar a plantear este problema?

    Si el lado de un cuadrado aumenta en 7 cm, su superficiea aumenta en 301 cm^2. Halla el lado.


    replythumb_up0 voto/sflag
    icon

    Ángel
    el 29/8/17

    x=lado

    y=superficie


    x2=y

    (x+7)2=y+301   ------>  x2+49+14x=y+301  ------->  x2= y+301-49-14x


    y= y+301-49-14x

    14x=252

    x=18 cm mide el lado

    thumb_up0 voto/sflag
  • icon

    sheyla
    el 29/8/17

    Un frigorífico cuesta 360,60 y otro similar, 492,83 euros. El primero consume anualmente unos 72,12 euros en electricidad y el segundo, unos 54,09 euros. Se pide:

    a. Escribir las ecuaciones que relacionan el coste con los años de uso.

    b. ¿A partir de qué año de uso el segundo es más rentable? (contando el coste de compra)

    c. ¿Qué ahorro supondría comprar el segundo si los dos pueden durar 20 años?.

    replythumb_up0 voto/sflag
    icon

    Ángel
    el 29/8/17

    a)

    Coste1= (72.12*años de uso+360.60)---->  y1=72.12x+360.60

    Coste2=(54.09*años de uso+492.83)---->  y2=54.09x+492.83


    b)

    y1>y2

    72.12x+360.60 > 54.09x+492.83
    18.03x > 132.23
    x >7.33 años
    Entonces: a partir del octavo año es más rentable el segundo

    c) 
    Durando 20 años:
    Primero--> (72.12*20)+360.60= 1803 euros
    Segundo--> (54.09*20)+492.830 1574.63 euros

    Ahorro:  1803-1574.63= 228.37 euros

    thumb_up0 voto/sflag
  • icon

    Diego Mauricio Heredia
    el 29/8/17

    buenos dias unicoos desde bolivia, le saluda Diego. tengo un problema que se trata sobre la ecuacion de la recta, son dos rectas que cruzan, dice lo siguiente:

    dadas las ecuaciones de recta:

    L1: 3x + y+ 10= 0 

    L2:  y - x + 2= 0

    a) verificar si las rectas son paralelas o perpendiculares entre si.

    b) si no cumple con "a" cual es el angulo de intersección de las dos rectas?

    alguien que me pueda ayudar? gracias de antemano saludos y bendiciones a todos.


    replythumb_up0 voto/sflag
    icon

    Desencadenado
    el 29/8/17

    las rectas no son paralelas ni perpendiculares

    thumb_up0 voto/sflag
    icon

    Desencadenado
    el 29/8/17


    thumb_up0 voto/sflag
  • icon

    Heide Solorzano
    el 29/8/17

    Heyyy Chicos

    Tengo este ejercicio, no se como llegar al valor de c...me podrían ayudar, se los agradezco muchísimo es el 53


    replythumb_up0 voto/sflag
    icon

    Fermat
    el 29/8/17


    thumb_up1 voto/sflag
  • icon

    Ignacio
    el 29/8/17

    Que formulas necesito para hacer este ejercicio?

    replythumb_up0 voto/sflag
    icon

    César
    el 29/8/17

    cual de ellos?


    thumb_up0 voto/sflag
    icon

    Ignacio
    el 29/8/17

    El 4

    thumb_up0 voto/sflag
    icon

    Guillem De La Calle Vicente
    el 29/8/17

    Área lateral de un prisma=PerímetroBase · hprisma

    Saludos.

    thumb_up0 voto/sflag
  • icon

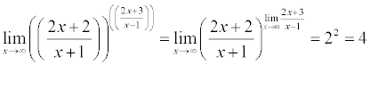
    Diego
    el 29/8/17

    Alguien me me podría resolver el limite cuando x tiende a + infinito de ((2x+2)/(x+1))ˆ((2x+3)/(x-1))

    Gracias

    replythumb_up0 voto/sflag
    icon

    César
    el 29/8/17