Foro de preguntas y respuestas de Matemáticas

logo beUnicoos
Los foros de unicoos se han unificado en nuestra nueva plataforma beUnicoos. Para dejar nuevas preguntas deberás hacerlo allí, donde además podrás encontrar nuevas asignaturas y herramientas para ayudarte más con tus estudios.

  • icon

    Andrea hdz
    el 28/8/17

    sabéis si hay algún vídeo donde aparezca una explicación a un ejercicio parecido a este o similar???NO PIDO LA SOLUCIÓN. Gracias!

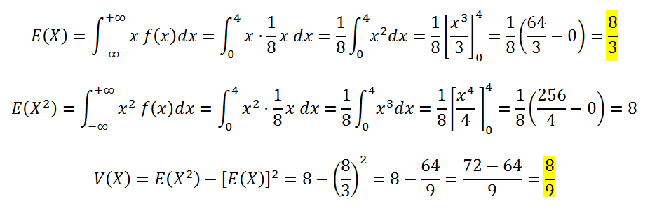
    replythumb_up0 voto/sflag
    icon

    Antonius Benedictus
    el 28/8/17

    icon

    Desencadenado
    el 28/8/17


    thumb_up0 voto/sflag
  • icon

    Andrea hdz
    el 28/8/17

    he intentado hacer el ejercicio pero me da un resultado que no cuadra en cuanto a lo que pide el enunciado, ayuda y gracias de antemano!

    replythumb_up0 voto/sflag
    icon

    César
    el 28/8/17

    plantea correctamente las ecuaciones


    thumb_up0 voto/sflag
  • icon

    Paula Hidalgo
    el 28/8/17

    Ayuda con el siguiente ejercicio:

    · Las coordenadas del vector w=(-1,-1) en la base B={u,v} 

    Dados los vectores u=(-2,1) y v=(3,-4) 

    Gracias 

    replythumb_up0 voto/sflag
    icon

    Antonius Benedictus
    el 28/8/17


    thumb_up1 voto/sflag
  • icon

    Andrea hdz
    el 28/8/17

    ayuda con este ejercicio , he intentado hacerlo pero no se continuar  gracias!

    replythumb_up0 voto/sflag
    icon

    César
    el 28/8/17


    thumb_up0 voto/sflag
  • icon

    Guillem De La Calle Vicente
    el 28/8/17


    replythumb_up0 voto/sflag
    icon

    Antonius Benedictus
    el 28/8/17


    thumb_up0 voto/sflag
  • icon

    Guillem De La Calle Vicente
    el 28/8/17

    Se refiere a la función con dominio [0,2] y rango [0,1] cuya gráfica se muestra en la siguiente figura:

    Dibuje las gráficas de las funciones que se indican, y especifique sus dominios y rangos.

    1. 2f(x)

    2. -(1/2)f(x)

    replythumb_up0 voto/sflag
    icon

    Desencadenado
    el 29/8/17

    teniendo en cuenta siempre el mismo dominio de la función original [0,2], la imagen de 2f(x) = [0,2) y de -1/2 =[0,-1/2).

    si contemplaramos todos los reales como dominio, las imagenes correspondientes serian (-2,2) y (1/2,-1/2)

    thumb_up0 voto/sflag
  • icon

    alvaro
    el 28/8/17
    flag

    Hola, alguien me puede ayudar con este ejercicio?

    replythumb_up0 voto/sflag
    icon

    Antonius Benedictus
    el 28/8/17

    Álvaro pon foto del enunciado original, que lo tienes mal transcrito.

    thumb_up0 voto/sflag
    icon

    Guillem De La Calle Vicente
    el 28/8/17


    thumb_up0 voto/sflag
    icon

    Ángel
    el 28/8/17

    Si lo que querías poner en b) y d) es esto:

    a) Enunciado=   √7*(1+5-2+8) = √7*12 =   12√7

    b) Enunciado= 12√5 * 12√2 = 12√(5*2) =   12√10

    c) √(2*3*5)= √30

    d)  24√7

    thumb_up0 voto/sflag
  • icon

    Andrea hdz
    el 28/8/17

    que requisitos se necesita para obtener  un sistema de 3 ecuaciones con tres incognitas sea sea compatible indeterminado ?

    replythumb_up0 voto/sflag
    icon

    Guillem De La Calle Vicente
    el 28/8/17

    Debes asegurarte que el determinante de la jacobiana (suponiendo que quieres igualar una función a 0) sea no nulo para todo vector x.
    Al caso de los lineales, es sólo el determinante de la matriz A.
    La función sería f: réel^3 -> réel^3.
    Nota: Acostúmbrate a ver variables y conjuntos en forma de palabras, no sólo en forma de letras...

    Saludos.

    thumb_up0 voto/sflag
  • icon

    Andrea hdz
    el 28/8/17

    como se pone en la calculadora logaritmo en base 3?? gracias!

    replythumb_up0 voto/sflag
    icon

    Paus Aguilar
    el 28/8/17

    Si quieres calcular el logaritmo en base 3 de (cualquier número) y en la calculadora no puedes elegir la base, haces: 
    log de (el número) todo dividido log de 3. En la base que tú quieras, generalmente la calculadora te los resuelve en base 10. 

    thumb_up0 voto/sflag
    icon

    Ángel
    el 28/8/17

    No hay una tecla específica normalmente, pero sale así:

    En base 2 ----->   logx ÷ log2

    En base 3 ---->    logx ÷ log3

    .

    .

    En base n ----->  logx ÷ logn


    Donde x es el número del que quieres saber el logaritmo en cuestión.


    thumb_up1 voto/sflag
  • icon

    Adrián Rodriguez Machuca
    el 28/8/17

    PORFAVOR OPERADLO Y PONED EL PROCESO

    replythumb_up0 voto/sflag
    icon

    Desencadenado
    el 28/8/17

    Adrián debes hacer una tabla de valores para cada trozo de función, valores menores a -1 para la primera parte, valores entre -1 y 1 para la segunda, y mayores a 1 para la tercera. Saludos!



    thumb_up0 voto/sflag
    icon

    Guillem De La Calle Vicente
    el 28/8/17


    thumb_up2 voto/sflag