Hola Unicoos.me ayudan con este ejercicio? Gracias de ante mano!
Cierta vacuna tiene una eficacia preventiva del 95%.Si se vacunan los 500 animales de un lote,determinar:
a) Que distribucion sigue la variable aleatoria X= numero de animales enfermos del lote? Explicitar los valores que puede tomar,la esperanza y la varianza.
b)Que distribucion sigue la variable aleatoria Y=numero de animales sanos del lote? Explicitar los valores que puede tomar,la esperanza y la varianza.
c) Calcular la probabilidad de que:
1)Se enfermen 3 animales
2)Como minimo 2 animales se enfermen
3) Se enfermen mas de 4 animales
4)No se enferme ningun animal
5)Se enfermen todos los animales del lote
6)Se enfermen a lo sumo 2 animales del lote

a)
Observa que la variable aleatoria X toma valores naturales comprendido entre 0 (inclusive) y 500 (inclusive),
y que tiene distribución binomial con parámetros: n = 500, p = 1 - 0,95 = 0,05, q = 0,95, cuya expresión es:
p(X = h) = C(500,h)*0,05h*0,95500-h,
su esperanza queda: E(X) = n*p = 500*0,05 = 25,
su varianza queda: V(X) = n*p*q = 500*0,05*0,95 = 23,75.
b)
Observa que la variable aleatoria Y toma valores naturales comprendido entre 0 (inclusive) y 500 (inclusive),
y que tiene distribución binomial con parámetros: n = 500, p = 0,95, q = 0,05, cuya expresión es:
p(y = k) = C(500,k)*0,95k*0,05500-k,
su esperanza queda: E(y) = n*p = 500*0,95 = 475,
su varianza queda: V(Y) = n*p*q = 500*0,95*0,05 = 23,75.
c)
1) p(X=3) = C(500,3)*0,053*0,95500-3.
2) p(X≥2) = 1 - p(x<2) = 1 - p(X=0) - p(X=1) = 1 - C(500,0)*0,050*0,95500-0 - C(500,1)*0,051*0,95500-1.
3) p(X>4) = 1 - p(X≤4) = 1 - p(X=0) - p(X=1) - p(X=2) - p(X=3) = te dejo la tarea de plantear el cálculo.
4) p(X=0) = C(500,0)*0,050*0,95500-0 = 1*1*0,95500 = 0,95500.
5) p(X=500) = C(500,500)*0,05500*0,95500-500 = 1*0,05500*1 = 0,05500.
6) p(X≤2) = p(X=0) + p(X=1) + p(X=2) = te dejo la tarea de plantear el cálculo.
Espero haberte ayudado.

Muchas gracias Antonio!
Una pregunta: en el punto a) y b) la diferencia en los parametros por que seria?
Siguiendo esto, puedo calcular la variable aleatoria Y=numero de animales sanos del lote ,pero en la variable X que conceptos tengo que seguir??
n= numero de veces que se repite el experimento
p=probabilidad
q=1-p
Hola! Unicoos no consigo resolver esta ecuación matricial: es la siguiente. Os agradecería un montón vuestra ayuda. GRACIAS!!!![]()

Observa que la matriz A tiene dos filas y tres columnas, y que la matriz B tiene tres filas y dos columnas,
por lo que la matriz A*B tendrá dos filas y dos columnas,
realizas el producto (te dejo la tarea de plantearlo y desarrollarlo) y queda:
A*B =
-6 3
-3 2.
Luego, observa que la matriz resultado tiene dos filas y una columna,
por lo que la matriz incógnita X debe tener 2 filas y una columna, por lo que plantea:
x =
x
y.
Luego, plantea el producto, lo desarrollas y queda::
(A*B)*X =
-6x+3y
-3x+2y.
Luego, igualas elemento a elemento con la matriz resultado que tienes en el enunciado y queda el sistema de dos ecuaciones con dos incógnitas:
-6x + 3y = 2
-3x + 2y = 4,
resuelves el sistema de ecuaciones y tienes la solución: x = 8/3, y = 6,
por lo que tienes que la solución de la ecuación matricial es:
X =
8/3
6.
Espero haberte ayudado.
1. Calcule f∘g(x) si sabemos que f(x)=x2 y g(x)=x+1.
2. Calcule f(x) si sabemos que g(x)=x+4 y f∘g(x)=x.
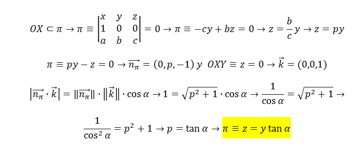
Vuelvo a preguntar Unicoos, ¿por qué la ecuación de un plano que forme un ángulo α con el plano XY tiene como ecuación f(x,y)=y*tg(α)? Gracias!

Hola Antonio, se trata de calcular el volumen de una cuña cortada de un cilindro de radio 2, donde un corte se hace perpendicular al eje de ese cilindro y otro con un ángulo de 30º, hasta llegar al diámetro de ese cilindro. Pues bien, lo primero que hacen es definir el campo escalar como f(x,y)=y*tg(30)=1/sqrt(3)*y, y añaden que es la ecuación del plano que representa ese corte a 30º.

He seguido el procedimiento Antonio y solo tengo una última duda, en el producto escalar, el ángulo que forman el vector normal del plano y k, no es 30, sino 90+30. Luego, ¿valdría tu forma teniendo en cuenta que α es el ángulo que forma el plano π con el plano OXY. Gracias por toda esta ayuda!
pueden ayudarme
ecuaciones de la recta que pasa por el punto m1(-4, -5, 3) y se corta con la dos rectas x+1/3= y+3/-2 = z-2/-1 ; x-2/2= y+1/3 = z-1/-5