Hola,Unicoos,me ayudarian con esto? Muchas gracias de ante mano!
Teniendo en cuenta el analisis microbiologico de aguas,se pudo comprobar que en rio Azul proximo a El Bolson se encontraron en promedio 2 bacterias coliformes totales/100ml de agua haciendola apta para el consumo (el Codigo Alimentario Argentino exige que haya menos de 3 bacterias coliformes totales/ 100ml de agua).Se sabe ademas que las pruebas restantes,recuento aerobios mesofilos totales,Escerichia coli,Pseudomonas aeruginosa cumplieron con lo exigido por el codigo.
a) Cual es la probabilidad de encontrar;
1) a lo sumo 8 bacterias coliformes en una muestra de 500ml de agua?
2) mas de 9 bacterias coliformes en una muestra de 300ml de agua?
3) 5 bacterias coliformes en una muestra de 200ml de agua?
b) Que distribucion empleo para responder las preguntas anteriores? Indicar los parametros de cada una de las situaciones.

¡Hola! Nos encantaría ayudarte, pero no solemos responder dudas universitarias que no tengan que ver específicamente con los vídeos que David ha grabado como excepción. O de otras asignaturas que no sean Matemáticas, Física y Química. Lo sentimos de corazón… Esperamos que lo entiendas.
Ojalá algún unicoo universitario se anime a ayudarte (de hecho, lo ideal es que todos los universitarios intentarais ayudaros los unos a los otros).
Utilice una herramienta gráfica para examinar en orden las gráficas de las funciones
y=√(x),
y=2+√(x),
y=2+√(3+x),
y=1/(2+√(3+x))
Describa los efectos que producen en la gráfica los cambios realizados en la función en cada etapa.
necesito ayuda con este ejercicio no se como empezar , se que es largo solo pido unas pautas que me ayuden a realizarlo , gracias!

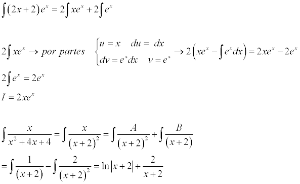
1. Pasa a común denominador tanto las fracciones del numerador y el denominador principales.
2. Después efectúa la resta.
3. Haz los pasos 1. y 2. las veces que sea necesario.
4. Despeja equis.
((manda tus resoluciones de los ejercicios que no entiendes y te ayudamos))
P.D: La tarea tiene que hacerla uno mismo y luego preguntar...no que te hagamos toda la tarea del verano en un día.

Te sugiero los videos de "expresiones algebraicas" donde encontrarás uno muy parecido.. Expresiones algebraicas
Buenas tardes,
necesito ayuda con este ejercicio no recuerdo muy bien que significaba

Te sugiero los videos de asintotas y sobre todo este...
Estudio completo de una funcion racionalMe podéis decir si los planteamientos de estos problemas están bien?
1) La edad de Ignacio es el doble de la de su hermana Sandra más dos años. La suma de las edades de dos es de 17 años. Cuántos años tiene cada una.
2x+2=y
x+y= 17
2) La suma de tres números consecutivos es igual al doble del mayor más 1. Calcula los números.
x+x+1+x+2=2(x+2)+1
3)La abuela de David tiene 61 años. Esta edad es el triple de la edad de su nieto más 25 años. ¿Cuál es la edad de David?
x=61
x= 3y
4) El doble de un número y el triple del siguiente suman 33 ¿Cuál es el número=
2x+3x+1=33
5) Para vallar un terreno rectangular han necesitado 240 metros de valla. Si el largo del campo es el triple del ancho, ¿cuánto miden el largo y el ancho?
x+y= 240
3x=y
6) María tiene cinco años menos que su hermano. Dentro de dos años, la edad de María será la mitad de la de su hermano. ¿Cuántos años tiene cada uno?
x-5=y
x/2+5=y