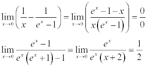
Tengo una duda sobre un ejercicio de fracciones algebraicas ahi Teneis el enunciado
gracias!

Comienza por tratar cada factor por separado (observa que extraemos denominadores comunes):
1)
1/x - x = (1 - x2)/x = - (-1 + x2)/x = - (x2 - 1)/x = factorizas el numerador: - (x+1)*(x-1)/x;
2)
1/x + x = (1+x2)/x;
3)
1/(x+1) - 1 = ( 1 - (x+1) )/(x+1) = distribuyes el signo en el segundo término del numerador = (1 - x - 1)/(x+1) = - x/(x+1).
Luego sustituyes en la expresión algebraica del enunciado y queda:
[ - (x+1)*(x-1)/x ] * [ (1+x2)/x ] * [ - x/(x+1) ] =
multiplicas numeradores (observa que tienes cancelaciones de signos), multiplicas denominadores y queda:
= [ (x+1)*(x-1)*(1+x2)*x ] / [ x*x*(x+1) ] =
simplificas los factores del numerador y del denominador que están remarcados y queda:
= [ (x-1)*(1+x2) ] / [ x ] = (x-1)*(1+x2)/x.
Espero haberte ayudado.
Hola me podrian ayudar ?
Me piden que de un Ejemplo del teorema de diferenciabilidad que dice que : "Si F es diferenciable en (x,) ,entonces,F admite derivadas parciales en (x,y) "
¿que ejemplo podria dar?.gracias

Si solamente se trata de dar un ejemplo, puedes proponer una función con expresión polinómica, por ejemplo:
f(x,y) = x2 + y5, observa que f es diferenciable en R2, y sus las expresiones de sus derivadas parciales quedan:
fx(x,y) = 2x,
fy(x,y) = 5y4,
y observa que ambas derivadas tienen dominio R2.
Espero haberte ayudado.
Me explican uno de estos por favor, gracias...El a y el b puede ser

Buenas tardes, alguien sabría explicarme si para analizar la posible existencia de datos anómalos en una tabla de frecuencias con intervalos, se hace de la misma forma que explican ustedes en este video o si se utiliza otro tipo de forma.
https://www.youtube.com/watch?v=Kj9g-BC2YSg&index=1&list=PLCIiyh8LkmZ8drrw_3m5yV2YRXZemT7vQ
Muchas gracias!!!
hola como se resuelve este problema?
El producto de 2 numeros complejos da -2.Al dividir el cubo de uno entre el otro , el resultado es 2. ¿Que numeros son?

Puedes plantear que los complejos incógnitas son z y w, y tienes el sistema de dos ecuaciones:
z*w = - 2
z3/w = 2 (observa aquí que w debe ser distinto de cero).
Haces pasaje de divisor como factor en la segunda ecuación y el sistema queda:
z*w = - 2
z3 = 2*w, de aquí despejas: z3/2 = w (1).
Sustituyes la expresión señalada (1) en la primera ecuación y queda:
z*z3/2 = - 2,
resuelves el numerador, haces pasaje de divisor como factor y queda:
z4 = - 4,
escribes al número complejo real del segundo miembro en forma polar (módulo y argumento, y observa que los argumentos los expresamos en radianes) y queda:
z4 = [4]π,
haces pasaje de potencia como raíz y queda:
z = 4√( [4]π ),
luego aplicas la Fórmula de De Moivre para las raíces y queda:
z = [ 4√(4) ](π+2kπ)/4, con k = 0, 1, 2 , 3.
Luego, observa que tienes cuatro soluciones (observa que aplicamos la Fórmula de De Moivre para las potencias):
a)
z0 = [ 4√(4) ]π/4, reemplazas en la ecuación señalada (1) y queda:
w0 = ( z0 )3 = ( [ 4√(4) ]π/4 )3 = [ 4√(43) ]3π/4;
b)
z1 = [ 4√(4) ]3π/4, reemplazas en la ecuación señalada (1) y queda:
w1 = ( z1 )3 = ( [ 4√(4) ]3π/4 )3 = [ 4√(43) ]9π/4 = reduces el argumento = [ 4√(43) ]9π/4-2π = [ 4√(43) ]π/4;
c)
z2 = [ 4√(4) ]5π/4, reemplazas en la ecuación señalada (1) y queda:
w2 = ( z2 )3 = ( [ 4√(4) ]5π/4 )3 = [ 4√(43) ]15π/4 = reduces el argumento = [ 4√(43) ]15π/4-2π = [ 4√(43) ]7π/4;
d)
z3 = [ 4√(4) ]7π/4, reemplazas en la ecuación señalada (1) y queda:
w3 = ( z3 )3 = ( [ 4√(4) ]21π/4 )3 = [ 4√(43) ]21π/4 = reduces el argumento = [ 4√(43) ]21π/4-4π = [ 4√(43) ]5π/4.
Espero haberte ayudado.