Foro de preguntas y respuestas de Matemáticas

logo beUnicoos
Los foros de unicoos se han unificado en nuestra nueva plataforma beUnicoos. Para dejar nuevas preguntas deberás hacerlo allí, donde además podrás encontrar nuevas asignaturas y herramientas para ayudarte más con tus estudios.

  • icon

    Alejandro Álvarez
    el 27/8/17

    Buenas tardes,

    ¿que es el vértice de la región solución de este sistema?

    Gracias y un saludo.


    replythumb_up0 voto/sflag
    icon

    César
    el 27/8/17

    Resuelve como un sistema y el punto de corte sera el vertice

    (2/3,4/3)


    thumb_up0 voto/sflag
  • icon

    Renzo Riguetti
    el 27/8/17

  • icon

    Alejandro Álvarez
    el 27/8/17

    Buenas tardes,

    ¿podrían ayudarme con este ejercicio?

    no entiendo muy bien en que me condiciona el valor absoluto.

    Gracias y un saludo.


    replythumb_up0 voto/sflag
    icon

    Ángel
    el 27/8/17

    En general:

    |f(x)|< a    -------------->   f(x)<a   y   f(x)>a

    En tu ejercicio, la inecuación se subdivide en dos:

    2x-1< 3

    2x-1 > 3

    thumb_up0 voto/sflag
  • icon

    Fermat
    el 27/8/17

    Buenas tardes, me gustaría saber por qué la ecuación de un plano que forma 30º con el plano xy tiene como ecuación z=y*tg(30). He buscado en la teoría de geometría de planos pero no encuentro nada parecido. Muchas gracias

    replythumb_up0 voto/sflag
    icon

    Guillem De La Calle Vicente
    el 27/8/17

    Restringete a x = 0 y coge el plano YZ como R^2.

    Entonces los planos a R^3 son o rectas o todo R^2.

    Si hubiera alguna constante sólo sería ignorarla...

    Saludos.


    thumb_up0 voto/sflag
    icon

    Fermat
    el 27/8/17

    En mi supuesto Guillem, x puede tomar cualquier valor. De hecho, estoy haciendo un ejercicio en 3.


    thumb_up0 voto/sflag
  • icon

    Guillem De La Calle Vicente
    el 27/8/17

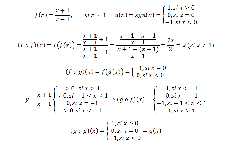
    Construya las funciones compuestas donde f(x)=(x+1)/(x-1),       g(x)=sgn(x)

    (a) f∘f(x)

    (b) f∘g(x)

    (c) g∘f(x)

    (d) g∘g(x)

    replythumb_up0 voto/sflag
    icon

    Antonius Benedictus
    el 27/8/17


    thumb_up0 voto/sflag
  • icon

    Ignacio
    el 27/8/17

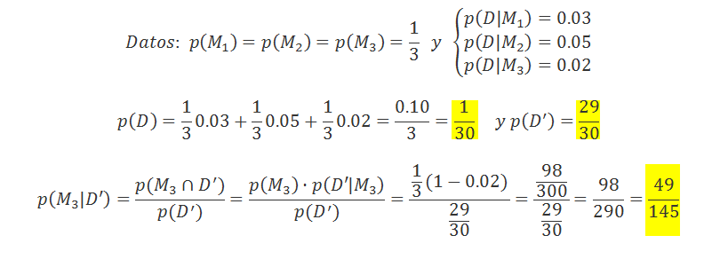
    están bien las soluciones del ejercicio 5? Gracias de antemano.

    replythumb_up0 voto/sflag
    icon

    Ángel
    el 27/8/17

    a)P(AAA)=0.9*0.9*0.9= 0.729

    b)P(BBB)=0.1*0.1*0.1= 0.001

    c)P(al menos una activa)= P(todas activas)+P(2activas)+P(1activa)=     1-P(BBB)= 1-(0.001)= 0.999


    thumb_up1 voto/sflag
  • icon

    Guillermo
    el 27/8/17

    hallar la ecuaciones de la recta que pasa por el punto M1 (-1,2,-3) es perpendicular al vector a= (6,-2,-3) y se corta con la recta  x-1/3 = y+1/2 = z-3/-5

    Por favor si me pudieran decir que hacer 

    replythumb_up0 voto/sflag
    icon

    César
    el 27/8/17


    thumb_up1 voto/sflag
    icon

    Guillermo
    el 27/8/17

    gracias


    thumb_up0 voto/sflag
  • icon

    Ignacio
    el 27/8/17

    cómo se haría el apartado C? Cuál sería los resultados de los apartados anteriores. Gracias de antemano.

    replythumb_up0 voto/sflag
    icon

    Antonius Benedictus
    el 27/8/17


    thumb_up0 voto/sflag
  • icon

    Ignacio
    el 27/8/17

    está bien el apartado a) (la solución escrita a boli)? Cómo hago el b)?

    replythumb_up0 voto/sflag
    icon

    Antonius Benedictus
    el 27/8/17


    thumb_up0 voto/sflag
  • icon

    jaime
    el 27/8/17

    ayuda , es un ejercicio de primero de bachillerato


    replythumb_up0 voto/sflag
    icon

    César
    el 27/8/17


    thumb_up1 voto/sflag
    icon

    Antonius Benedictus
    el 27/8/17


    thumb_up0 voto/sflag