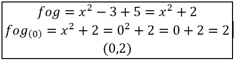
Si f(x)=x+5 y g(x)=x²-3, calcule lo siguiente:
(a) f(g(x))
(b) g∘f(x)

Observa que las dos funciones tienen dominio R.
Luego, aplicas la definición de composición (observa que la imagen de la primera función está incluida en el dominio de la segunda función en ambos casos):
(f o g)(x) = f( g(x) ) = f(x2-3) = (x2-3) + 5 = x2 + 2 ( observa que su dominio es R, y su imagen es: [2,+∞) );
(g o f)(x) = g( f(x) ) = g(x+5) = (x+5)2 - 3 = x2 + 10x + 22 ( observa que su dominio es R, y su imagen es: [-3,+∞) ).
Espero haberte ayudado.

Debes corregir.
Observa que te indican en tu enunciado que las probabilidades de activación de las alarmas son independientes unas de otras, y observa que indicamos con A si la alarma correspondiente está activada, y con D si está desactivada.
a) p(AAA) = 0,9*0,9*0,9 = 0,93 = 0,729.
b) p(DDD) = (1-0,9)3 = 0,13 = 0,001.
c) p(al menos una se active) = 1 - p(DDD) = 1 - 0,001 = 0,999.
También tienes otra forma para plantear el problema:
puedes considerar que tienes una población de tres alarmas (n = 3), que la probabilidad que una alarma se active es 0,9 (p = 0,9) y que la probabilidad de no activación de una alarma es 0,1 (1 - p = 0,1), y como las alarmas funcionan independientemente, puedes plantear la variable aleatoria:
X: "cantidad de alarmas activadas", cuyos valores pertenecen al conjunto: VX = {0, 1, 2, 3},
y observa que la variable aleatoria X tiene distribución binomial, con parámetros: n = 3, p = 0,9.
Luego, tienes para cada inciso:
a)
p(AAA) = p(X=3) = C(3,3)*p3*(1-p)3-3 = 3!/(3!*0!) * 0,93 * 0,10 = 1 * 0,729 * 1 = 0,729;
b)
p(DDD) = p(X=0) = C(3,0)*p0*(1-p)3-0 = 3!/(0!*3!) * 0,90 * 0,13 = 1 * 1 * 0 = 0,001;
c)
p(al menos una se active) = p(X≥1) = 1 - p(X=0) = 1 - 0,001 = 0,999.
Espero haberte ayudado.
En el a), tendrías que decir también que si m es diferente a 3/2, son secantes.
El b) te tendría que dar y+2z+2=0. Revisa.
En el c), no puedes tachar el denominador de los valores de punto. Sólo lo puedes hacer con los vectores. Por tanto el punto te queda P(9/7, -16/7, 1/7).
Saludos.

Te ayudo con los tres primeros incisos.
a)
Observa que r es paralela al eje coordenado OZ (tienes que es intersección entre dos planos, uno paralelo al plano coordenado OYZ y otro paralelo al plano coordenado OXZ), por lo que un vector director para ella es:
ur = <0,0,1>.
Observa que un vector normal al plano π1 (cuyas componentes son los coeficientes de las variables en su ecuación cartesiana implícita) es:
n1 = <1,0,0>.
Luego, plantea el producto escalar entre los dos vectores:
ur • n1 = <0,0,1> • <1,0,0> = 0,
por lo que tienes que el vector director de la recta r es perpendicular al vector normal al plano π1,
por lo que resulta que la recta y el plano son paralelos.
b)
Plantea el sistema de ecuaciones conformado por las ecuaciones cartesianas de la recta r y la ecuación cartesiana implícita del plano π2:
x = 1
y = 2
x + y + z - 1 = 0,
reemplazas los valores remarcados en la tercera ecuación y queda:
1 + 2 + z - 1 = 0, de donde despejas: z = - 2,
por lo tanto tienes que el punto de intersección entre la recta r y el plano π2 tiene coordenadas: A(1,2,-2).
c)
Observa que un vector normal al plano π2 es: n2 = <1,1,1>,
luego puedes plantear que un vector director de la recta (s) que es intersección entre los planos es el producto vectorial entre los vectores normales:
us = n1 x n2 = <1,0,0> x <1,1,1> = <0,-1,1>.
Espero haberte ayudado.

Observa que las funciones f e I tienes expresiones polinómicas, por lo tanto las dos tienen dominio R:
Df = DI = (-∞,+∞) = R.
Observa que la función g tiene que su expresión es una división entre polinomios, por lo que debes plantear que el denominador debe ser distinto de cero:
x - 2 ≠ 0, haces pasaje de término y queda: x ≠ 2,
por lo tanto, su dominio queda:
Dg = (-∞,2) u (2,+∞) = R - {2}.
Observa que en las expresiones de las funciones h y n tienes raíces cuadradas, por lo que debes plantear que los argumentos de las raíces cuadradas deben ser mayores o iguales que cero:
x + 2 ≥ 0, haces pasaje de término y queda: x ≥ - 2,
por lo tanto el dominio de la función h queda:
Dh = [-2,+∞) = {x∈R / x ≥ - 2};
x - 3 ≥ 0, haces pasaje de término y queda: x ≥ 3,
por lo tanto el dominio de la función n queda:
Dn = [3,+∞) = {x∈R / x ≥ 3}.
Espero haberte ayudado.