Foro de preguntas y respuestas de Matemáticas

logo beUnicoos
Los foros de unicoos se han unificado en nuestra nueva plataforma beUnicoos. Para dejar nuevas preguntas deberás hacerlo allí, donde además podrás encontrar nuevas asignaturas y herramientas para ayudarte más con tus estudios.

  • icon

    william rodriguez
    el 26/8/17

    buenas.

    tengo una pregunta sobre las inecuaciones:

    si tengo una inecuacion racional para resolverla hallo el mcm como en las ecuaciones,¿ ya teniendo los mismo denominadores puedo eliminarlos como en las ecuaciones? o debo pasarlo todo a un solo lado. si es asi¿ que otras poropiedades de las ecuaciones no se aplican en las ecuaciones?



    replythumb_up0 voto/sflag
    icon

    Antonius Benedictus
    el 26/8/17

    No puedes eliminar denominadores que contengan la incógnita, pues no sabes si las cantidades son positivas o negativas. Has de pasar todo (sumando o restando) al segundo miembro.

    thumb_up0 voto/sflag
    icon

    william rodriguez
    el 26/8/17

    PERO EN LAS ECUACIONES NO APLICA ESO ¿VERDAD?

    thumb_up0 voto/sflag
    icon

    Antonius Benedictus
    el 26/8/17

    En las ecuaciones, no.

    thumb_up0 voto/sflag
  • icon

    Hasmmersmith Catalina
    el 26/8/17

    Hola, me podría controlar la siguiente operación de polinomios, para comprobar que esta bien:

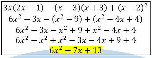
    3x (2x-1) - (x-3) (x+3) + (x-2)2

    6x2 -3x -x2 +3x +3x+9 +x2-2x-2x+4

    6x2- 3x - x2 + 6x +9 +x2- 4x+4

    6x2- x2 + x2 - 3x +6x -4x +9+4

    6x2-x +13



    replythumb_up0 voto/sflag
    icon

    Desencadenado
    el 26/8/17

    algún paso esta mal, la solución no es la correcta


    thumb_up1 voto/sflag
    icon

    Desencadenado
    el 26/8/17


    thumb_up1 voto/sflag
    icon

    Desencadenado
    el 26/8/17


    thumb_up1 voto/sflag
    icon

    Hasmmersmith Catalina
    el 26/8/17

    Muchas gracias!!!


    thumb_up1 voto/sflag
  • icon

    Marc
    el 26/8/17

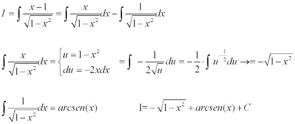
    Hola Sres, Tengo una integral que se me ha atascado. Supongo que es arcsin pero no estoy seguro. ∫ x-1/√ 1-x2 dx. Gracias por adelantado.

    replythumb_up0 voto/sflag
    icon

    Antonius Benedictus
    el 26/8/17


    thumb_up0 voto/sflag
    icon

    César
    el 26/8/17


    thumb_up0 voto/sflag
  • icon

    Jonathan Yañez
    el 26/8/17
    flag

    ----------- Limites -----------

    lim                 √ (x^3+1) + 2 / √ (x^2+1) - 3

    x---->+∞


    Adelanto que la Rta es +∞


    replythumb_up0 voto/sflag
    icon

    Desencadenado
    el 26/8/17

    icon

    Desencadenado
    el 26/8/17


    thumb_up1 voto/sflag
  • icon

    Diego Mauricio Heredia
    el 26/8/17

    Alguien que me ayude por favot con el ejercicio con valor absoluto cuales son los intervalos, con algo de detalle por favor me esta costando comprender

    replythumb_up0 voto/sflag
    icon

    Desencadenado
    el 26/8/17

    que es E?

    thumb_up0 voto/sflag
    icon

    Antonius Benedictus
    el 26/8/17


    thumb_up1 voto/sflag
  • icon

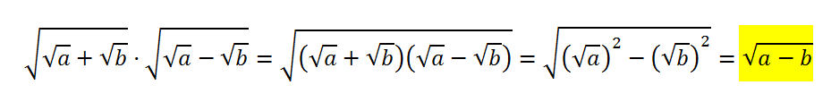
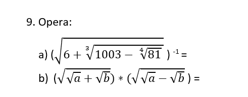
    Irene
    el 26/8/17

    Hola Unicoos,

    ¿Podríais ayudarme con este ejercicio de radicales?


    Gracias :)

    replythumb_up0 voto/sflag
    icon

    Desencadenado
    el 26/8/17


    thumb_up0 voto/sflag
    icon

    Antonius Benedictus
    el 26/8/17


    thumb_up0 voto/sflag
  • icon

    Lucía
    el 26/8/17

    me podría dar esta distancia siendo está de dos rectas?

    replythumb_up0 voto/sflag
    icon

    César
    el 26/8/17

    enunciado completo 

    https://www.youtube.com/watch?v=7Vn1bpDScqA&t=122s


    thumb_up0 voto/sflag
  • icon

    Lucía
    el 26/8/17

    hola, no sé si el ejercicio está bien hecho me lo podríais corregir y luego otra cosa en P sería (0.1.0) o (0.-1.0)?

    replythumb_up0 voto/sflag
    icon

    César
    el 26/8/17

    P=(0,1,0)


    thumb_up0 voto/sflag
  • icon

    Daniel Alvarez Restrepo
    el 26/8/17

    como saco A y B no entiendo como sacarlo porfavor ayuda 

    replythumb_up1 voto/sflag
    icon

    César
    el 26/8/17

    A es un punto de la recta r   (0,1,0)=A

    B es un punto de la recta s     .  si   x=1   

    -2y-6z=0

    1+y=0                  x=1             y=-1      z=1/3   habia un error



    thumb_up1 voto/sflag
  • icon

    Hugo
    el 26/8/17

    Como puedo sacar el area lateral de una piramide de base hexagonal de 7 cm de apotema y 4 de arista basica



    replythumb_up0 voto/sflag
    icon

    Desencadenado
    el 26/8/17


    thumb_up0 voto/sflag
    icon

    Desencadenado
    el 26/8/17


    thumb_up0 voto/sflag