Perdonen la torpeza pero no acabo de terminar el ejercicio, ¿me podrían explicar como han pasado de la primera integral a la segunda? Es que nunca he hecho una integral parcial con una función parecida.
Y mil gracias por intentar ayudarme aunque no me solucionen la duda por completo.

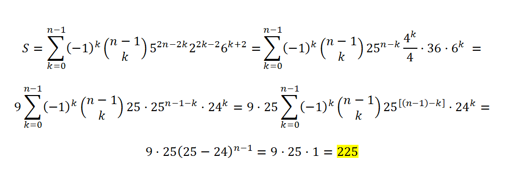
Sara, como no indicas en tu perfil que nivel de estudios tienes, no sé que herramientas de integración utilizas. Igual te extraña que utilice una doble integral (integral iterada) para el cálculo de áreas de regiones planas, te explico. Esa doble integral que puse representa el volumen del sólido formado por el recinto amarillo como base, paredes laterales verticales y como superficie superior la gráfica f(x,y)=1 (altura 1), esto equivale numéricamente al área de la región pedida. Espero que te ayude a comprender de dónde viene el procedimiento típico, si es que no lo sabías.![]()
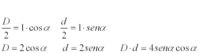
Hola, no encuentro una relación para llegar a que las diagonales de este rombo miden 2sen(α) y 2cos(α).
Se agradece mucho la ayuda.
Saludos!

Considera el triángulo rectángulo en el que tienes indicado el ángulo α y la longitud de un lado del rombo (L = 1 cm),
y observa que la longitud del cateto adyacente al ángulo es la mitad de la longitud de la diagonal mayor (ad = D/2), observa que la longitud del cateto opuesto al ángulo es la mitad de la longitud de la diagonal menor (op = d/2), y observa que la longitud de la hipotenusa del triángulo es L = 1 cm.
Luego, plantea las relaciones trigonométricas:
ad/L = cosα, haces pasaje de divisor como factor y queda:
ad = L*cosα, sustituyes en el primer miembro y queda:
D/2 = L*cosα, haces pasaje de divisor como factor y queda:
D = 2*L*cosα, que es la longitud de la diagonal mayor del rombo;
op/L = senα, haces pasaje de divisor como factor y queda:
op = L*senα, sustituyes en el primer miembro y queda:
d/2 = L*senα, haces pasaje de divisor como factor y queda:
d = 2*L*senα, que es la longitud de la diagonal menor del rombo.
Luego, puedes plantear para el producto de las diagonales del rombo:
P = D*d, sustituyes expresiones y queda:
P = 2*L*cosα*2*L*senα, simplificas coeficientes, ordenas factores y queda:
P = 2*L2*2*cosα*senα,
aplicas la identidad trigonométrica del seno del doble de un ángulo (sen(2*α) = 2*cosα*senα) y queda:
P = 2*L2*sen(2*α).
Espero haberte ayudado.