hola, alguien me puede ayudar?
calcular el volumen solido generado al girar la región. Usar métodos de discos. Limitada por y = sen x para 0 ≤ x ≤ π, y = 0 alrededor de la recta y = 1.

¡Hola! Nos encantaría ayudarte, pero no solemos responder dudas universitarias que no tengan que ver específicamente con los vídeos que David ha grabado como excepción. O de otras asignaturas que no sean Matemáticas, Física y Química. Lo sentimos de corazón… Esperamos que lo entiendas.
Ojalá algún unicoo universitario se anime a ayudarte (de hecho, lo ideal es que todos los universitarios intentarais ayudaros los unos a los otros).
Buenos días, necesito ayuda para saber como solucionar estos problemas.
Muchísimas gracias de antemano.
1.) Calcula el área total de un prisma cuya altura es 14 cm y su base un rombo de diagonales 6 cm y 8 cm respectivamente. Recuerda que el área de un rombo es la mitad del producto de sus diagonales.
2.) Calcula el área total de un ortoedro cuyas dimensiones son 10 cm de largo, 4 cm de ancho y 12 cm de alto.
Un cordial saludo.
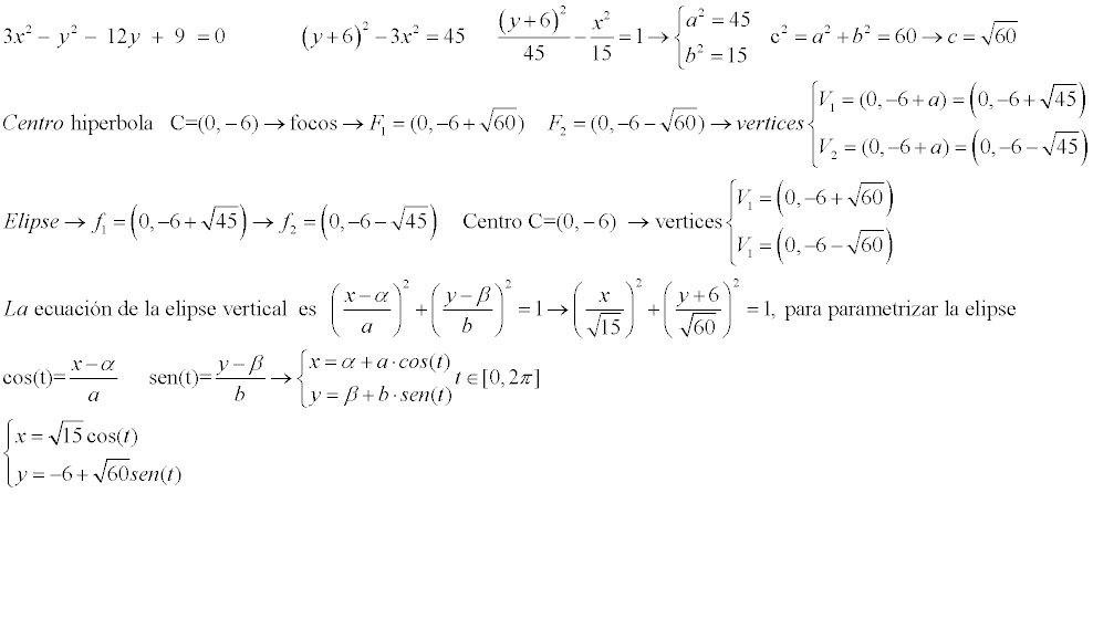
Hi.. alguien me podria ayudar con un problema de cónicas, agradecería un montón si me respondeís, estaré feliz xq tengo examen la próxima semana
Dada la cónica 3x2- y2 - 12y + 9 =0, halle la ecuación de la elipse en forma paramétrica, tal que sus focos son los vértices de la cónica y tal que sus vértices son los focos de la cónica. ¿Cúanto mide el lado recto de la ambas cónicas?
GRACIAS. Esperare esa respuesta

¡Hola! Nos encantaría ayudarte, pero no solemos responder dudas universitarias que no tengan que ver específicamente con los vídeos que David ha grabado como excepción. O de otras asignaturas que no sean Matemáticas, Física y Química. Lo sentimos de corazón… Esperamos que lo entiendas.
Ojalá algún unicoo universitario se anime a ayudarte (de hecho, lo ideal es que todos los universitarios intentarais ayudaros los unos a los otros).
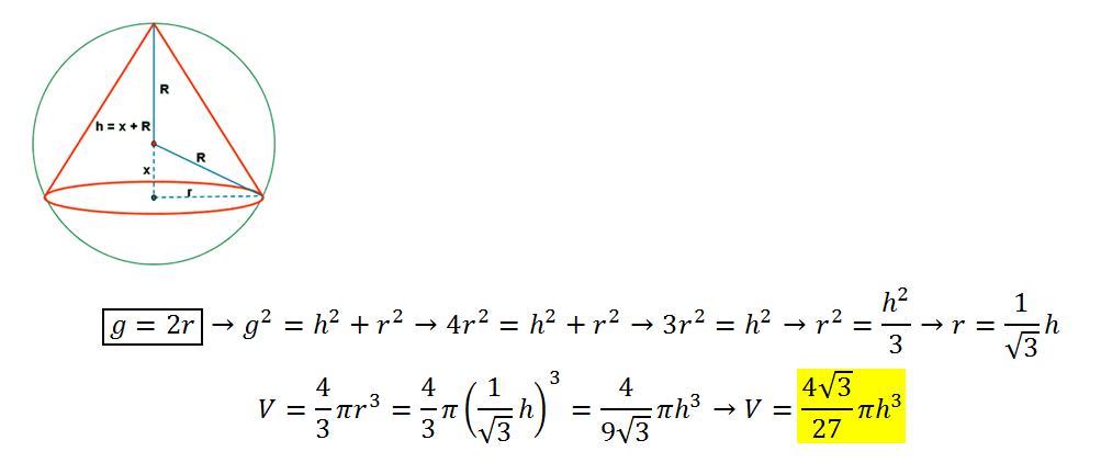
Hola gente de unicoos, alguien sería amable en ayudarme con un ejercicio de geometría..
* Un cono está inscrito en una esfera y su generatriz es congruente con el diámetro de su base. Si el cono tiene una altura h, entonces el volumen de la esfera, en unidades cúbicas es:
a.) (8/81)πh3 b.) (16/81)πh3 c.) (32/81)πh3 d.) (36/81)πh3 e.) (64/81)πh3
Gracias de antemano.
Hola.. Buen día unicoos.
Quiero que por favor me ayudeis con un ejercicio de Cálculo.... x favor os ruego.... me ha ido bajo en este promedio y tengo que ir a recuperación.... me lío a veces... depende del ejercicio planteado...
__________________________________________________________________________________________________
// Encuentre la solución de la ecuación diferencial (dy/dx)=1/2 [ tg (x+2y) ]2 y demostrar que la respuesta encontrada es la solución de la ecuación diferencial dada.
4y - 2x+ Sen (3x+4y) = c (c : constante).
__________________________________________________________________________________________________
Le agradecería de antemano a esa persona que de por favor pido ayuda para aprobar...
Con unicoos lo más probable es que apruebe.... Muchas gracias y Saludos.

¡Hola! Nos encantaría ayudarte, pero no solemos responder dudas universitarias que no tengan que ver específicamente con los vídeos que David ha grabado como excepción. O de otras asignaturas que no sean Matemáticas, Física y Química. Lo sentimos de corazón… Esperamos que lo entiendas.
Ojalá algún unicoo universitario se anime a ayudarte (de hecho, lo ideal es que todos los universitarios intentarais ayudaros los unos a los otros).