alguien me puede ayudar ha halla a1 sabiendo que a4=12 y a7=21, es que no encuentro el vídeo de presiones y no se como realizarlo.
Calcule los dominios de las funciones f+g, f-g, fg y f/g y g/f, y exprese las fórmulas de sus valores.
f(x)=√(1-x), g(x)=√(1+x)
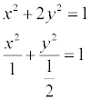
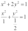
Cómo hallo el semieje mayor y menos de la elipse x^2 + 2y^2 = 1
Por más vueltas que le doy no consigo quitar el 2 que multiplica a la y^2 sin perder el 1 l otro lado de la igualdad
Podeis ayudarme?
Vale, creo que lo he conseguido: Sería (x^2 + 1)/2 + y^2 = 1 ?????
Calcule los dominios de las funciones f+g, f-g, fg y f/g y g/f, y exprese las fórmulas de sus valores.
f(x)=x, g(x)=√(x-1)
Hola Guillem, si no me equivoco creo que se haría así:
f(x) = x → Dom (f) = ℛ
g(x) = √(x - 1) → Dom (g) = [1, ∞)
a)
Dominio f(x) + g(x) = (f+g)(x) → Dom (f+g) = Dom (f) ∩ Dom (g) = [1, ∞)
Fórmula de sus valores (f+g)(x) = x + √(x - 1)
b)
Dominio f(x) - g(x) = (f-g)(x) → Dom (f-g) = Dom (f) ∩ Dom (g) = [1, ∞)
Fórmula de sus valores (f-g)(x) = x - √(x - 1)
c)
Dominio f(x) · g(x) = (f·g)(x) → Dom (f·g) = Dom (f) ∩ Dom (g) = [1, ∞)
Fórmula de sus valores (f·g)(x) = x · √(x - 1)
d)
Dominio f(x) / g(x) = (f/g)(x) → Dom (f/g) = [Dom (f) ∩ Dom (g)] - {x ∈ ℛ / g(x) = 0} = [1, ∞) - {1}
Fórmula de sus valores (f/g)(x) = x / √(x - 1) = [x · √(x - 1)] / (x - 1)
e)
Dominio g(x) / f(x) = (g/f)(x) → Dom (g/f) = [Dom (g) ∩ Dom (f)] - {x ∈ ℛ / f(x) = 0} = [1, ∞) - {0}
Fórmula de sus valores (g/f)(x) = √(x - 1) / x
Espero que te sirva.
Holaa, alguien podria ayudarme con estas dos ecuaciones trigonométricas porfa, no hagan caso a lo que esta en azul pq creo q esta mal, he mirado todos los videos d unicoos de ecuaciones trigonométricas y me sigen sin salir.
Hola Marta, aquí tienes las resoluciones:
a) cos 2x - cos (π/2 + x) = 1 → cos2 x - sen2 x - cos (90º + x) = 1 → cos2 x - sen2 x - (cos 90º · cos x - sen 90º · sen x) = 1 → cos2 x - sen2 x + sen x = 1 → 1 - sen2 x - sen2 x + sen x = 1 → -2sen2 x + sen x = 0 → sen x (-2sen x + 1) = 0
sen x = 0 → x1 = ±180ºk, k ∈ Z
(-2sen x + 1) = 0 → sen x = 1/2 → x2 = 30º ± 360ºk, k ∈ Z; x3 = 150º ± 360ºk, k ∈ Z
b) 3sen2 x + cos2 x + cos x = 0 → 3(1 - cos2 x) + cos2 x + cos x = 0 → 3 - 3cos2 x + cos2 x + cos x = 0 → -2cos2 x + cos x + 3 = 0
cos x = -1 → x = 180º ± 360ºk, k ∈ Z
cos x = 3/2 → 3/2 ∉ [-1, 1] → No ∃ Sol.
Espero haberte ayudado.
Hola, ¿podrían ayudarme en este ejercicio de geometría analítica en el plano?
Ej. Halla las coordenadas del punto P, perteneciente a la recta x + y - 3 = 0 que forma con los puntos A(3, 5) y B(4, 0) un triángulo rectángulo en P.
Sol. P1(1, 2); P2(3, 0)
Gracias.
Hola Roberto, para resolver estos ejercicios tienes que ayudarte de la circunferencia goniométrica, te recomiendo ver el siguiente vídeo:
https://www.youtube.com/watch?v=3Nh-Jynv46E
Resolución:
a) sen2 x + cos2 x = 1 → Despejas sen x y te dará dos soluciones, puesto que será un raíz, tienes que coger la solución positiva, ya que el ángulo se encuentra en el segundo cuadrante. Sol. sen x = 3/5
b) Al representarlo en la circunferencia goniométrica te das cuenta de que equivale a -cos x. Sol. cos (180º - x) = 4/5
c) Al representarlo en la circunferencia goniométrica te das cuenta de que equivale a tg x. Sol. tg (180º + x) = -3/4
d) Al representarlo en la circunferencia goniométrica te das cuenta de que equivale a cos x. Sol. sen (90º - x) = -4/5
Espero haberte ayudado.
hola me podrias ayudar.
calcular el area encerrada entre la curva y=x^2+2 y sus tangentes en x=1 y en x=-2

Observa que la expresión de la función derivada es: y ' = 2x, y que las ecuaciones de las rectas tangentes son:
y = 2x + 1, cuyo punto de contacto con la curva es: A(1,3) y su pendiente es: m = f ' (1) = 2;
y = - 4x - 2, cuyo punto de contacto con la curva es: B(-2,6) y su pendiente es: m = f ' (-2) = - 4.
Luego, observa que las rectas tangentes se cortan en el punto cuyas coordenadas son: C(-1/2,0).
Luego, haz un gráfico, y traza una recta paralela al eje OY que pase por el punto C,
y observa que la región limitada por la curva y las dos rectas queda dividida en dos subregiones:
1)
Subregión limitada superiormente por la curva, inferiormente por la segunda recta tangente, y lateralmente por la derecha por la recta paralela al eje OY; luego, su área queda expresada:
A1 = ∫ ( (x2 + 2) - (2x + 1) )*dx = ∫ (x2 + 2 - 2x - 1)*dx = ∫ (x2 - 2x + 1)*dx, para evaluar entre x = -2 y x = -1/2.
2)
Subregión limitada superiormente por la curva, inferiormente por la primera recta tangente, y lateralmente por la izquierda por la recta paralela al eje OY; luego, su área queda expresada:
A2 = ∫ ( (x2 + 2) - (-4x - 2) )*dx = ∫ (x2 + 2 + 4x + 2)*dx = ∫ (x2 + 4x + 4)*dx, para evaluar entre x = -1/2 y x = 1.
Luego, tienes para el área de la región limitada por la curva y las dos rectas:
A = A1 + A2,
y solo queda que hagas los cálculos.
Espero haberte ayudado.