f indica una función con dominio [0,2] y rango [0,1] cuya gráfica se muestra en la figura siguiente.
Dibuje la gráfica de las funciones indicadas y especifique sus dominios y sus rangos.
1. f(x)+2
2. f(x)-1
f(x)+2 -----> Dominio= [0,2] , Rango= [2,3] Resulta la misma gráfica en forma de campana de Gauss/distribución normal desplazada dos unidades hacia arriba (EJE Y positivo)
f(x)-1 -----> Dominio= [0,2] , Rango= [-1,0] Resulta la misma gráfica de distribución normal desplazada una unidad hacia abajo (EJE Y negativo)
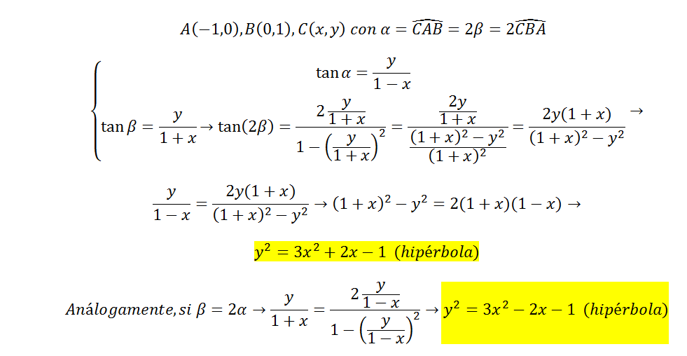
3b) Los vértices de la base de un triángulo están en los puntos (−1,0) y (1,0). Hallar la ecuación e identificar el lugar geométrico descrito por el tercer vértice (𝑥,𝑦) si un ángulo interior de la base del triángulo es siempre el doble del otro.
Dibuje las gráficas de las funciones siguientes.
1. f(x)=2/(x+2)
2. f(x)=1/(2-x)
3. f(x)=x/(x+1)
4. f(x)=x/(1-x)
Estoy trabajando ejercicios de derivadas en este caso realice la derivada de un producto de dos funciones, pero tengo dudas y debilidades al multiplicar variables con exponentes aqui les dejo la parte final donde tengo que multiplicar para que me digan como seria el resultado y si pueden explicarme por que el resultado, Gracias de antemano.
estas son las funciones originales por si acaso quieren visualizar las funciones originales y verifcar si la derivada esta aplicada correctamente:
(2x2-7) (5+6x3)
y aqui la parte de mis dudas que es en la multiplicacion de funciones o variables con exponente. ya esta es la parte que obtuve el resultado de las derivadas de ambas funciones. Por que segun me han explicado la derivada de un producto de dos funciones es igual a la primera funcion por la derivada de la segunda mas la segunda funcion por la derivada de la primera. Me corrigen si estoy mal.:
(2x 2 -7 ) * (-18x2) + (5+6x3) * (4x)
que resultado daria esa multiplicacion de funciones?

Si esta bien derivado, pero debe quedarte 18x2 no negativo como pusiste...
Ahora solo te queda simplificar algebraicamente, para eso realizas (2x 2 - 7 ) * (18x2) + (5 + 6x3) * (4x) multiplicando termino a termino primero (multiplicando bases y sumando exponentes):
18x2 * (2x2- 7) = 36x4 - 126x2
4x * (5 + 6x3) = 20x + 24x4
Luego solo realizas la suma o resta de los términos que tengan el mismo exponente en la X (en este caso 36x4 + 24x4):
36x4 - 126x2 + 20x + 24x4 = 60x4 - 126x2 + 20x ( ese seria el resultado)
Espero haberte ayudado, cualquier otra duda aquí estamos.

martin ramirez en eso tengo dudas por que queda 18 positivo si al final de derivar me da -18x2 exactamente.. hay que hacer alguna transposicion de terminos o algo asi? por que varios ejercicios me dan resultados negativos exactos osea no encuentro error en la forma de derivar y si me da negativo simplemente lo pongo positivo o que?

Recuerda que para derivar exponentes se utiliza la formula:
Xn aplicando su derivada queda → n*X(n-1) (se baja el exponente y multiplica a la X y al exponente de la X se le resta 1, pero al bajar el exponente no se le cambia el signo se deja tal y como esta, y en caso de que fuera negativo el exponente ahí quedaría negativa la expresión)
Dos ejemplos (→ = derivada):
1) 6x3 → 3*6x3-1 = 18x2
2) 6x-3 → -3*6x-3-1 = -18x-4
Espero que con eso te des cuenta de la diferencia.

Cuando estudias el dominio de funciones racionales, el primer paso es ver que puntos anulan al denominador. En el caso de las funciones racionales radicales se analizan dos casos, el primero, para que puntos el numerador y denominador son positivos y el segundo, para que otros ambos son negativos. Hay que fijarse que en cada caso los conjuntos intersequen, pues esa intersección estará dentro del dominio. Cuando sendos conjuntos no intersecan entre sí, se habla conjunto vacío y se representa con el símbolo ∅.
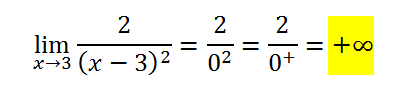
------------ Limites ------------
lim 2 / (x-3)^2
x-->3
Adelanto que la Rta es +∞, pero no llego a comprender como se resuelve de manera aritmética. Solo llego a la respuesta cuando hago una tabla de valores.