Cuando calculas la longitud de un arco por la integral del módulo de la derivada de la función entre los intervalos a y b, varia esta a y b ?¿

¡Hola! Nos encantaría ayudarte, pero no solemos responder dudas universitarias que no tengan que ver específicamente con los vídeos que David ha grabado como excepción. O de otras asignaturas que no sean Matemáticas, Física y Química. Lo sentimos de corazón… Esperamos que lo entiendas.
Ojalá algún unicoo universitario se anime a ayudarte (de hecho, lo ideal es que todos los universitarios intentarais ayudaros los unos a los otros).

Sustituyes los primeros miembros por sus expresiones en función de los senos y coseno de x e y y queda:
cosx*cosy - senx*seny = 0
cosx*cosy + senx*seny = 0,
mantienes la primera ecuación, sustituyes la segunda ecuación por por la suma miembro a miembro de ambas ecuaciones y queda:
cosx*cosy - senx*seny = 0 (1)
2*cosx*cosy = 0, aquí haces pasaje de factor como divisor y queda:
cosx*cosy = 0, y por anulación de un producto tienes dos opciones:
a)
cosx = 0, compones con la función inversa del coseno y queda:
x = π/2 + k*π, con k ∈ Z,
reemplazas en la ecuación señalada (1) y queda (observa que senx toma los valores -1 o +1):
0*cosy - (±1)*seny = 0, cancelas el término nulo y queda:
- (±1)*seny = 0, haces pasaje de factor como divisor y queda:
seny = 0, compones en ambos miembros con la función inversa del seno y queda:
y = m*π, con m ∈ Z;
b)
cosy = 0, compones con la función inversa del coseno y queda:
x = π/2 + n*π, con k ∈ Z,
reemplazas en la ecuación señalada (1) y queda (observa que seny toma los valores -1 o +1):
cosx*0 - senx*(±1) = 0, cancelas el término nulo, ordenas factores en el segundo término y queda:
- (±1)*senx = 0, haces pasaje de factor como divisor y queda:
senx = 0, compones en ambos miembros con la función inversa del seno y queda:
x = p*π, con p ∈ Z.
Espero haberte ayudado.

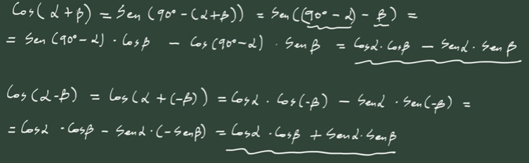
Debes expresar a una diferencia como una suma:
x - y = x + (-y).
Debes tener en cuenta las identidades del seno y del coseno del opuesto de un ángulo:
cos(-x) = cosx,
sen(-x) = - senx.
Luego, tienes:
cos(x - y) = expresas la resta como una suma:
= cos( x + (-y) ) = aplicas la identidad del coseno de la suma de dos ángulos:
= cosx*cos(-y) - senx*sen(-y) = aplicas las identidades del ángulo opuesto en los segundos factores de ambos términos:
= cosx*cosy - senx*( -sen(y) ) = resuelves signos en el segundo término y queda.
= cosx*cosy + senx*seny.
Espero haberte ayudado.
Ahí lo tienes todo:
http://www.vitutor.com/fun/2/c_15.html ((Rango es lo mismo que "recorrido" ))
Una identidad trigonométrica es una identidad si, a partir del desarrollo de uno de los dos miembros se obtiene el otro miembro, o bien, si desarrollando por separado cada miembro, se llega a una misma expresión. Ejemplos: sin²x+cos²x=1.
Una ecuación trigonométrica es una igualdad que consiste a encontrar el valor o valores de la incógnita que verifican la igualdad. Ejemplos: sin 3x=1