
¡Hola! Nos encantaría ayudarte, pero no solemos responder dudas universitarias que no tengan que ver específicamente con los vídeos que David ha grabado como excepción. O de otras asignaturas que no sean Matemáticas, Física y Química. Lo sentimos de corazón… Esperamos que lo entiendas.
Ojalá algún unicoo universitario se anime a ayudarte (de hecho, lo ideal es que todos los universitarios intentarais ayudaros los unos a los otros).
Buenas tardes,
necesitaría ayuda con este ejercicio de matrices no consigo resolverlo
Enunciado:
Solución propuesta:
Desarrollo:
Gracias y un saludo.

Te ayudo con el ejercicio 5.
Planteaste correctamente el cuadrado
A2 =
0 0 1
-1 -1 -1
1 0 0;
Observa que debes corregir el cubo:
A3 =
-1 -1 -1
1 0 0
0 1 0
Observa la cuarta potencia:
A4 =
1 0 0
0 1 0
0 0 1 = I3, que es la matriz identidad de orden 3.
Luego, puedes plantear
A281 = A280+1 = A280*A1 = A4*70*A = (A4)70*A = (I3)70*A = I3*A = A.
Espero haberte ayudado.

Observa que el argumento del límite puede escribirse: y(x-3) / (x-3)2+y2
Observa que tanto el numerador como el denominador tienden a cero.
Luego, puedes plantear el límite para el conjunto de trayectorias rectas que pasan por el punto de estudio (3,0),
cuyas ecuaciones tienen la forma: y = m(x-3):
Lím(x→3) m(x-3)(x-3) / (x-3)2+m2(x-3)2 = extraes factor común en el denominador:
= Lím(x→3) m(x-3)2 / (x-3)2(1+m2) = simplificas
= Lím(x→3) m/(1+m2) = m/(1+m2);
y como tienes que el resultado depende de las pendientes de los caminos rectos,
puedes concluir que el límite no existe.
Espero haberte ayudado.
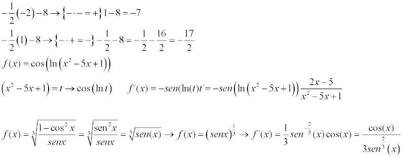
Hola! podrían ayudarme con el siguiente ejercicio?
40 obreros trabajando con un rendimiento del 76% pueden terminar una obra en 50 días de 7 horas de trabajo, pero luego de 5 días de trabajo de retiran 5 obreros y piden terminar la obra en 7 días ¿con que rendimiento deberán trabajar los restantes esta segunda parte si aumentan 2 horas de trabajo mas por día?
No entiendo este ejercicio ya que al final tengo que sumar un negativo y nosé como se suman negativos, la calculadora no me da opción (en el examen me dejan usarla)
-1 + 12:[6 -7 + (- 5)] =

Tienes la expresión:
-1 + 12:[6 -7 + (- 5)] = resuelves el signo en el último término del agrupamiento indicado con corchetes y queda:
= - 1 + 12:[6 - 7 - 5] = reduces términos negativos en el agrupamiento indicado con corchetes y queda:
= - 1 + 12:[6 - 12] = resuelves la resta en el agrupamiento indicado con corchetes (observa que el resultado es negativo) y queda:
= - 1 + 12:[- 6] = resuelves la división en el segundo término (observa que tiene resultado negativo) y queda:
= - 1 + (- 2) = resuelves signos en el segundo término y queda:
= - 1 - 2 = reduces términos negativos y queda:
= - 3.
Recuerda las propiedades de la suma y de la resta entre números enteros:
1) Si tienes términos con signos iguales, sumas los valores absolutos y mantienes el signo, por ejemplo:
a) - 1 - 2 = - (1 + 2) = - 3,
b) 5 + 8 = 13.
2) Si tienes términos con signos distintos, restas los valores absolutos, y el signo del resultado lo determina el signo del término con valor absoluto mayor:
c) 6 - 12 = - (12 - 6) = - 6,
d) - 20 + 7 = - (20 -7) = - 13,
e) 15 - 9 = 6,
f) -13 + 20 = 20 - 13 = 7.
Espero haberte ayudado.
ahh claro , nada perdona, error mio esque ese `es para indicar , por eso hay un parentesis, quiero decir al ser + se deja lo del parentesis igual y al ser - se cambian los signos , el fallo es que no me estaba fijando en ese detalle, espero fijarme más en próximos ejercicios, muchas gracias :)