Hola unicoos podrian de x favor ayudarme con la solución de la ecuación diferencial ....
X favor, se lo agradecería mucho.... gracias de antemano...
A mi parecer es un ecuación diferencial homogenea...
Gracias de antemano...

Puedes plantear la sustitución (cambio de variables):
x + y = u2,
x - y = v2,
resuelves el sistema de ecuaciones y queda:
x = (u2 + v2)/2, y de aquí tienes: dx = (2u*du + 2v*dv)/2 = u*du + v*dv,
y = (u2 - v2)/2, y de aquí tienes: dy = (2u*du - 2v*dv)/2 = u*du - v*dv,
luego tienes para el primer miembro de la ecuación diferencial del enunciado:
y ' = dy/dx = (u*du - v*dv) / (u*du + v*dv).
Luego sustituyes expresiones en la ecuación diferencial (observa que tienes simplificaciones entre raíces y potencias en el segundo miembro) y queda:
(u*du - v*dv) / (u*du + v*dv) = (u + v) / (u - v),
haces pasajes de divisores como factores y queda:
(u - v)*(u*du - v*dv) = (u + v)*(u*du + v*dv),
distribuyes en ambos miembros y queda:
u2*du - uv*dv - uv*du + v2*dv = u2*du + uv*dv + uv*du + v2*dv,
haces pasajes de términos para separar variables según los diferenciales y queda:
- uv*dv + v2*dv - uv*dv - v2*dv = u2*du + uv*du - u2*du + uv*du,
cancelas términos opuestos en ambos miembros y queda:
- 2uv*dv = 2uv*du,
observa que las funciones cuyas expresiones son: u = 0 (1) y v = 0 (2) son soluciones de la ecuación diferencial,
luego, considerando que u y v no son funciones constantes nulas, haces pasajes de factores comos divisores y queda:
dv = - du,
integras en ambos miembros y queda:
v = - u + C,
sustituyes expresiones y queda:
√(x-y) = - √(x+y) + C,
haces pasaje de término y queda:
√(x-y) + √(x+y) = C,
que es una solución general de la ecuación diferencial,
luego, a partir de las expresiones señaladas (1) y (2) tienes:
√(x+y) = 0, haces pasaje de raíz como potencia y queda: x + y = 0,
√(x-y) = 0, haces pasaje de raíz como potencia y queda: x - y = 0,
que son soluciones particulares de la ecuación diferencial.
Espero haberte ayudado.
Hola Unicoos,
He intentado resolverlo por Gauss pero ha sido muy laborioso y nosé si me he confundido al hacer ceros, me podrían decir como podría continuar.
El enunciado dice: Calcula el rango de la matriz A según los valores del parámetro A.
Muchas gracias.

Vas muy bien.
Recuerda que el rango de una matriz rectangular es menor o igual que el menor entre los órdenes de filas y de columnas de la matriz,
y en este caso tienes una matriz de cuatro filas y tres columnas por lo que su rango debe ser menor o igual que tres.
Observa que ahora tienes dos opciones:
a)
si a = - 2, tu última matriz equivalente por filas queda:
1 3 -2
0 0 0
0 -2 2
0 0 -2
cancelas la fila nula y queda la matriz equivalente cuadrada de orden 3:
1 3 -2
0 -2 2
0 0 -2
multiplicas a la fila 2 y a la fila 3 por 1/2 y queda:
1 3 -2
0 -1 1
0 0 -1
luego, calculas el determinante y queda: D = (1+0-0)-(0-0+0) = 1 ≠ 0, por lo que tienes que el rango de la matriz es 3.
b)
si a ≠ - 2 (observa que tienes también: 2+a ≠ 0), tienes tu última matriz equivalente por filas:
1 3 -2
0 0 2+a
0 -2 2
a+2 0 a
luego considera la matriz cuadrada de orden 3 cuyos elementos hemos remarcado, y su determinante queda:
D = (0+0+0)-( -0+0-2(2+a) ) = 0 + 2(2+a) = 2(2+a) ≠ 0, por lo que tienes que el rango de la matriz es 3.
Por lo tanto, puedes concluir que la matriz tiene rango 3 para todo valor a real.
Espero haberte ayudado.
Hola Unicoos,
No sé si tengo errores, lo he resuelto por determinantes, el enunciado dice así:
Calcula el rango de la matriz A según los valores del parámetro A.
Muchas gracias.
Hola unicoos,
como desarrollais a/(a+2) ?
Muchas gracias

Veamos si te es útil este desarrollo:
a / (a+2) = sumas y restas 2 en el numerador = (a+2 -2) / (a+2) = agrupas los dos primeros términos en el numerador =
= ( (a+2) - 2 ) / (a+2) = distribuyes el denominador = (a+2)/(a+2) - 2/(a+2) = simplificas en el primer término = 1 - 2/(a+2).
Espero haberte ayudado.
Hola Unicoos,
Sé que el rango de una matriz es el número de filas linealmente independientes y por lo tanto no proporcionales entre sí y que tengan la imposibilidad de ser combianación lineal con otra.
Pero, alguien me puede explicar por qué si uno de los menores de la matriz es ≠0 ya podemos asegurar después de hacer ceros con Gauss que ese es el rango? ¿Por qué 0 y no otro número? cuál es la explicación.
Muchas gracias

Recuerda que se define al rango de una matriz como el orden del mayor determinante no nulo que se pueda obtener con alguna de sus submatrices cuadradas.
Luego, recuerda que las matrices equivalentes por filas tienen el mismo rango.
Observa que tienes la última matriz en tu desarrollo:
1 -3 3 -2
0 3 -3 3
0 0 0 0
Luego, observa que si consideras submatrices de orden 3, éstas cuentan con elementos de la última fila por lo que tienes que sus determinantes son iguales a cero,
y, por lo tanto, el rango de la matriz no es igual a 3.
Luego, observa que el determinante de la submatriz de orden dos cuyos elementos hemos remarcado es igual a 3, que es distinto de cero, por lo que tienes que el rango de la matriz es 2.
En el caso de la matriz de tu enunciado, tienes que la anulación de la tercera fila indica que ésa es combinación lineal de las otras dos filas,
y como hemos visto, si consideras una submatriz que incluya elementos de esta fila, tendrás que su determinante es igual a cero.
Espero haberte ayudado.
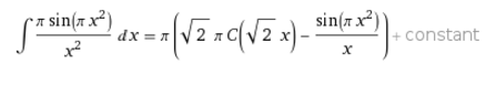
Hola Unicoos eh vuelto, estuve suspendido por pubicar ejercicios nivel universitario, quisiera saber si la función a integrar tiene primitiva... yo me las arreglo la integral claro si es que tiene primitiva... por si ya no vuelvo →Gracias Unicoos ustedes me ayudaron con cálculo diferencial e integral jamás olvidaré eso, saludos desde Perú.
∫π sin (πx2)/x2 dx
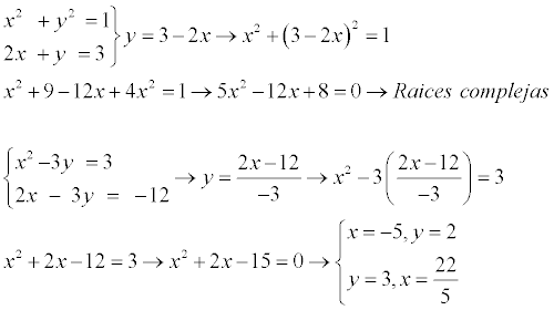
x2 + y2 =1
2x +y =3 si despejo y =3 - 2x y reemplazando en la segunda ecuación obtengo la siguiente ecuación : x2 -8x +8 = 0 aplicando la fórmula de Baskar me dá 8 +- V32 /2 para mi no tiene solución ¿ está bien?
x2 -3y =3
2x - 3y = -12 si despejo y= -12 + 2x /-3 reemplazando y haciendo fómula me dá -2 +- V40/6 ¿cómo la resuelvo? porque debería dar como resultado x1 =-3 , y =2 , x=5, y=22/3

Vamos con una precisión.
En el segundo ejercicio, comienza por hacer pasajes de términos en la segunda ecuación del sistema y queda:
2x + 12 = 3y, luego divides por 3 en todos los términos de la ecuación y queda: (2/3)x + 4 = y (1),
luego sustituyes en la primera ecuación y queda:
x2 - 3( (2/3)x + 4 ) = 3, distribuyes en el segundo término del primer miembro y queda:
x2 - 2x - 12 = 3, haces pasaje de término y queda:
x2 - 2x - 15 = 0, que es una ecuación polinómica cuadrática cuyas soluciones son:
a)
x = - 3, que al sustituir en la ecuación señalada (1) queda: (2/3)(-3) + 4 = - 2 + 4 = 2 = y;
b)
x = 5, que al sustituir en la ecuación señalada (1) queda: (2/3)(5) + 4 = 10/3 + 4 = 22/3 = y.
Espero haberte ayudado.
ok. Gracias había planteado bien las ecuaciones, pero me equivoque al resolverlas. El 7 del triángulo rectángulo tiene que dar 15,58 m2. Sigo intentando. en la ecuación del ejercicio 4f yo te puse arriba como me quedaron las ecuaciones porque eran complicadas ¿está bien? porque cuando intento resolverlas no me dan el resultado que figura en el to
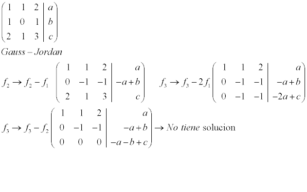
¡Ayuda!, cuando intento hacer la diagonal de 1's, el sistema se hace incompatible y necesito encontrar en que condiciones de a,b y c el sistema es compatible y la verdad no sé que hacer después (o antes) de ese punto.