Foro de preguntas y respuestas de Matemáticas

logo beUnicoos
Los foros de unicoos se han unificado en nuestra nueva plataforma beUnicoos. Para dejar nuevas preguntas deberás hacerlo allí, donde además podrás encontrar nuevas asignaturas y herramientas para ayudarte más con tus estudios.

  • icon

    Aldo
    el 7/8/17
    flag

    Hola, necesito ayuda con un tipo de fracción parcial cuando el numerador tiene grado mayor      


    replythumb_up0 voto/sflag
    icon

    Ángel
    el 8/8/17

    Adjunta el enunciado original. También sería conveniente saber tu nivel.

    thumb_up0 voto/sflag
    icon

    Aldo
    el 8/8/17

    Es álgebra de primer año de Universidad, muy básico 

    thumb_up0 voto/sflag
  • icon

    Cristina Cris Silka
    el 7/8/17

    Hola, ¿Me controlarían el siguiente ejer de notación científica?

    La población mundial está estimada en 6,8 . 109, y el número de internautas es, aproximadamente, de 1600 millones de personas. ¿Qué porcentaje de la población mundial utiliza internet?

    Datos: 

             6,8 .109= 6.800.000.000                                                    Regla de tres simple:            1,6 .10 9 --------------------------------------- 100%

            1,6 .109=1.600.000.000                                                                                                      1,6 .10 9 -------------------------------------x= (1,6 .10 9 . 100%) /  1,6 .10 9 = 23,5%


                              Rta: utiliza internet el 23,5% de la población mundial.


     

    replythumb_up0 voto/sflag
    icon

    Ángel
    el 7/8/17

    6.8*109 <------> 100

    1.6*109 <-------> x


    Multiplicamos en cruz y queda:

    6.8*10x= (1.6*109*100) 

    Despejamos x:

    x= (1.6*109*100)÷(6.8*109)

    Obtenemos el valor de x:

    x=  23.53

      Rta: utiliza internet el 23,53% de la población mundial.


    thumb_up1 voto/sflag
    icon

    Cristina Cris Silka
    el 7/8/17

    Muchas gracias, por ayudarme :)

    thumb_up0 voto/sflag
  • icon

    Daniel Wenli
    el 7/8/17

    Buenas, un amigo me pidio ayuda con algunos ejercicios y este me confunde porque no se que simboliza los dos puntos (" : ") 

    replythumb_up0 voto/sflag
    icon

    Antonius Benedictus
    el 7/8/17

    División, Daniel.

    thumb_up1 voto/sflag
    icon

    Daniel Wenli
    el 8/8/17
    flag


    thumb_up0 voto/sflag
  • icon

    ronaldrg
    el 7/8/17

    me podrían ayudar a resolver este este ejercicio por favor

    replythumb_up0 voto/sflag
    icon

    Antonius Benedictus
    el 7/8/17


    thumb_up0 voto/sflag
  • icon

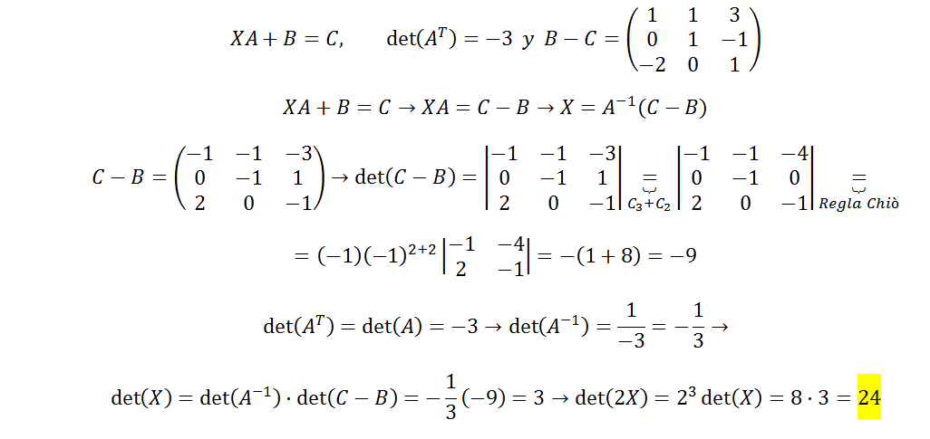
    leo
    el 7/8/17

    buenas, me ayudan con este ejercicio de matrices ? gracias


    replythumb_up0 voto/sflag
    icon

    Antonius Benedictus
    el 8/8/17


    thumb_up1 voto/sflag
  • icon

    Vic
    el 7/8/17

    ¿Me podrían ayudar también con este ejercicio de límite? Graciaaas!

    replythumb_up0 voto/sflag
    icon

    Ángel
    el 7/8/17

    lim(x→1) (1-x2)/(senπx) = 0/0


    Aplicamos L'Hopital:

    lim(x→1) (-2x)/ (πcosπx)  

    Sustituimos x por 1 y cosπ= -1:

    (-2*1)/ [π*(-1)*1]

    Multiplicamos:

    -2/ (-π)

    Simplificamos:

     2/π

    thumb_up1 voto/sflag
  • icon

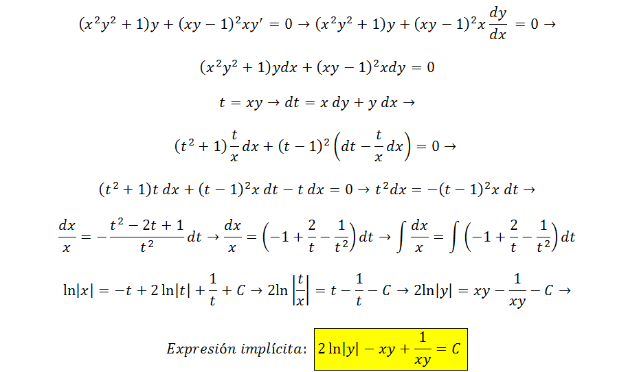
    lautaro
    el 7/8/17

    Me gustaría saber cómo se resuelven los ejercicios 3 y 4, y si tienen alguna pagina para ver ejercicios y teoría de este tipo también se los agradecería. 

    replythumb_up0 voto/sflag
    icon

    Antonius Benedictus
    el 7/8/17


    thumb_up0 voto/sflag
  • icon

    Ignacio
    el 7/8/17

    Me gustaria saber cual es la solucion del apartado a) y como se hacen los apartados siguientes b) y c). Gracias de antemano.

    replythumb_up0 voto/sflag
  • icon

    Ignacio
    el 7/8/17

    Necesito saber cuales son las soluciones para corregirlo, gracias de antemano

    replythumb_up0 voto/sflag
    icon

    César
    el 7/8/17

    El determiante de los coeficentes =-m

    si m=0   Rang=2    y RangoAmpilada=3

    thumb_up0 voto/sflag
  • icon

    Cristina Cris Silka
    el 7/8/17

    Hola, ¿me podría controlar los siguientes ejercicios para saber si estan bien?

    a)  (a/b) 3 . (b4/a3) = (a/b)3 . (b/a)4 - 3 = (a/b)3 . (b/a)1= (a/b)3 . b1 = a


    b) (a/b)3  .  (b/a)3 = (a/b . b/a)3= 10

    replythumb_up0 voto/sflag
    icon

    Antonio Silvio Palmitano
    el 7/8/17

    Veamos:

    a) (a/b)3*(b4/a3) = (a3/b3)*(b4/a3) = (a3*b4)/(b3*a3) = a3-3*b4-3 = a0*b1 = 1*b = b.

    b) Está bien resuelto, y observa que 10 = 1.

    Espero haberte ayudado.

    thumb_up1 voto/sflag
    icon

    Cristina Cris Silka
    el 7/8/17

    Muchas gracias!!!


    thumb_up0 voto/sflag