En la anterior pregunta enviada el enunciado es:
Sacar las ecuaciones de la recta que pasa por el punto P ( 1, 1, 1) y se corta perpendicularmente con la recta S: X = 4 + 3λ / Y = - 2 -2λ / Z = 2 - λ

Puedes comenzar por plantear las coordenadas del punto Q de la recta, que es extremo del vector PQ que es pependicular a ella:
Q(4+3λ,-2-2λ,2-λ),
luego plantea las componentes del vector PQ:
PQ = <4+3λ-1,-2-2λ-1,2-λ-1> = <3+3λ,-3-2λ,1-λ>,
luego, como el vector PQ, que es el director de la recta buscada es perpendicular al vector director de la recta que tienes en el enunciado,
puedes plantear que el producto escalar entre los vectores es igual a cero:
<3,-2,-1> • <3+3λ,-3-2λ,1-λ> = 0,
desarrollas el producto escalar y queda la ecuación:
3(3+3λ) -2(-3-2λ) - 1(1-λ) = 0,
distribuyes, reduces términos semejantes, haces pasaje de término y queda:
14λ = - 14, haces pasaje de factor como divisor y queda: λ = - 1,
luego reemplazas en las componentes del vector PQ y queda:
PQ = <3+3(-1),-3-2(-1),1-(-1)> = <3-3,-3+2,1+1> = <0,-1,2>.
Luego, con el vector director PQ y el punto P(1,1,1), puedes plantear las ecuaciones cartesianas paramétricas de la recta buscada:
x = 1 + 0μ
y = 1 - 1μ
z = 1 + 2μ
μ ∈ R.
Espero haberte ayudado.
He realizado el ejercicio por intersección de dos planos, cogiendo como punto A de s (4, -2, 2) y la recta resultado que me da como intersección de dos planos es:
3x -2y -z = 0
-5x +6y +3z -14 = 0
Me podrían decir si el resultado es correcto? Gracias
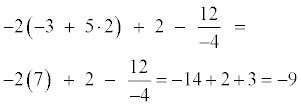
hola ¿tengo bien este ejercicio? (me lio un poco con el -4 del final)
-2(-3 + 5x2) + 2 – 12:(-4) = 9
lo que hice: 5x2=10 , -3 + 10 = 7 , -2 x 7 = -14 , -14+2= -12 , 12:4 = 3 y aquí sería 12-3=9 porque era -12 y -4 y menos por menos es más, está bien así? en el 12-3 no sé si es 12-3 o -12 - 3 aquí me lio mucho

Vamos, de a poco porque son muchos problemas.
27)
Puedes llamar x a la suma que se debe pagar por impuesto federal, y puedes llamar y a la suma que se debe pagar por impuesto estatal.
Luego, tienes las ecuaciones:
x = 0,25(312000 - y)
y = 0,10(312000 - x)
distribuyes y haces pasajes de términos en ambas ecuaciones y queda el sistema:
x + 0,25y = 78000
0,10x + y = 31200
multiplicas por 4 en la primera ecuación, multiplicas por 10 en la segunda ecuación y queda:
4x + y = 312000
x + 10 y = 312000
Luego, tienes la matriz ampliada del sistema:
4 1 312000
1 10 312000
permutas filas y queda:
1 10 312000
4 1 312000
a la fila 2 le restas a fila 1 multiplicada por 4 y queda:
1 10 312000
0 -39 -936000
a la fila 2 la divides por -39 y queda:
1 10 312000
0 1 24000
a la fila 1 le restas la fila 2 multiplicada por 10 y queda:
1 0 72000
0 1 24000
luego, tienes que la sumas a pagar son:
x = $ 72000 por impuesto federal,
y = $ 24000 por impuesto estatal.
Espero haberte ayudado.
Hola Comunidad he resuelto este ejercicio de inecuaciones con valor absoluto pero no estoy seguro de que lo he hecho bien solo me guiado con los videos de "unicoos" , lo que esta encerrado en rojo no lo entiendo es decir que tengo que tomar en cuenta este espacio o que tengo que hacer porfa necesito ayuda