hola tengo dificultad en los problemas como los siguientes para plantearlos
El problema que te mande anteriormente (el 20). es el de los microorganismos que miden 1 micra. a continuación lo hice así
un microorganismo mide 1 micra
1 micra es la millonesima parte de 1m. tengo que expresar en notación ciéntifica la longitu que ocupan 7.000.000 de microorganismos puestos en fila en metros
1 microorg------------------1,5 micras
7.000.000 de microorg ---------7.000.000 x 1,5 /1 =10.500.000 micras
Si 1 micra es la millonesima parte de 1 milimetro //1cm son 10 milimetro 1000 . 10= 10000 micras en 1 cm // 1 metro =100cm por lo tanto 1 metro = 1.000.000 de micras
si 1.000.000----------------------1metro
10.500.000-----------------------10.500.000 x 1 /1.000.000 = 10,5 metros de microorganismos
esta bien? y como lo expreso con notación ciéntifica. Gracias
EJERCICIO 20) Está bien, pero puedes hacerlo mucho más simple, con no tantas conversiones
EN METROS
7 millones de microorganismos
Longitud del microorganismo= 1.5micras
7.000.000*1.5=10.500.000 micras miden puestos en fila
"Una micra es la millonésima parte de un metro" -------> 1 metro = 1.000.000 micras
Regla de 3:
1 metro = 1.000.000 micras
x metros = 10.500.000 micras
x=(10.500.000*1)/1.000.000= 10.5 metros (solución)
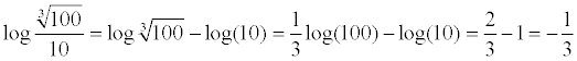
20)
NOTACIÓN CIENTÍFICA
7*106 millones de microorganismos
Longitud del microorganismo= 1.5*100micras
(7*106)*(1.5*100)= 10.5*106 = 1.05*107 miden puestos en fila
"Una micra es la millonésima parte de un metro" -------> 1 metro = 106micras
Regla de 3:
1 metro = 106 micras
x metros = 1.05*107 micras
x=(1.05*107)/106= 1.05*101 metros (solución)
Obtenga la ecuación de la gráfica que resulta de desplazar la gráfica correspondiente a la ecuación dada en la forma que se indica.
1. y=1-x² abajo 1, izquierda 1

Si quieres desplazar en una unidad hacia abajo y una unidad hacia la izquierda tu función, pues a todas tus "y" tendrias que sumarles 1 y a todas tus "x" sumarles 1 y como tienes la ecuacion y = 1-x², te resulta facile sumar a tus "y" y "x" uno.
Asi: (y+1) = 1-(x+1)² y esta ecuacion es tu funcion desplazada.
una especie de comadrejas tiene en cada parto un numero variado de hijos. se observa las camadas de 35 familias durante 1 año y han sido:
a). Calcular el numero medio de hijos, moda y mediana.
b). Calcular varianza y desviación típica de la distribución de crías por familia.
¿Es esta la tabla que querías adjuntar?
Nºhijos----> 0 1 2 3 4 5 6 7
Nºfamilias--> 2 3 10 10 5 0 5 0
Total hijos--->0 3 20 30 20 0 30 0 = 103 hijos
a)
103hijos÷35familias= 2.94 es el número medio de hijos por familia
Es una distribución bimodal: 3 y 6 son las modas
La mediana es 3, porque: hay 103 hijos y por tanto la mediana es donde esté situado el "hijo52", que está justo en el medio...tiene 51 a su izquierda y 51 a la derecha
**observa que hay 53 hijos(0+3+20+30) de familias con 3 o menos hijos
b) Intenta resolverlo, si no te sale nos cuentas:
Varianza: http://www.vitutor.com/estadistica/descriptiva/a_15.html
Desviación típica: Raíz cuadrada de la varianza.
**Te recomiendo que cuando haya tablas en el ejercicio mandes una foto o un pantallazo, porque suele dar problema si lo tecleas aquí....