Hola, que significa que una sucesión generada por el metodo de Gauss-Seidel sea convergente ?
Es simplemente calcular los valores, e ir calculando sus errores y ver si tienden a un numero?
David, me gustaría saber si has hecho algún video relacionado con la trigonometría, y en especial sobre pasar de forma polar a trigonométrica y de trigonométrica a polar, y sobre razones trigonométricas de los ángulos doble y mitad....Estoy repasando todo lo de bachiller de cara a septiembre para la uní....y no he encontrado ningún video sobre ello en tu página...podrías hacer algún video sobre estas cuestiones??Eres de gran ayuda para mí...Gracias de antemano

Hola, resulta que no me aclaro a la hora de hacer estos ejercicios.... dicen así:
1. Calcula cos α y tg α , sabiendo que sen α = -0.5 y que el ángulo α pertenece al cuarto cuadrante.
2. Sabemos que cos α = -0.75 y que tg α > 0. Indica a que cuadrante pertenece el ángulo y halla sen α y tg α.
SOBRE ÁNGULOS DOBLE Y MITAD:
1. Si sabemos que sen 38º = 0,62, halla cos 38º y tg 38º. Calcula después las razones trigonométricas de 19º y 76º.
También me piden demostrar las fórmulas que expresan en forma de producto la suma y la diferencia de dos cosenos.
Sobre ecuaciones trigonométricas:
cos x *cotg x = 3/2 ; 4tg x * cos2 x = √3.
Números complejos en forma polar...:
escribir en forma polar los números complejos:
2-√3i; -1+i
Gracias!!!!
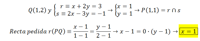
¿Para qué valor de k es la recta 2x+ky=3 perpendicular a la recta 4x+y=1? ¿Para qué valor de k son ambas rectas paralelas?
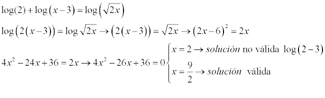
Necesito ayuda con esta ecuación trigonométrica :c Por favor no encuentro un vídeo que explique las de este tipo: cos^2 θ -sen^2 θ +sen θ =1 (Cos al cuadrado de theta menos seno al cuadrado de theta, mas el seno de theta es igual a 1)

Tal como indica el colega Víctor, puedes plantear la identidad fundamental:
cos2θ + sen2θ = 1,
de donde despejas.
cos2θ = 1 - sen2θ,
luego sustituyes en el primer término de la ecuación del enunciado y queda:
1 - sen2θ - sen2θ + senθ = 1,
haces pasaje de término numérico (observa que tienes cancelaciones, reduces términos cuadráticos y queda:
- 2*sen2θ + senθ = 0,
extraes factor común y queda:
senθ*(- 2*senθ + 1) = 0,
luego, por anulación de un producto, tienes dos opciones:
1)
senθ = 0,
compones en ambos miembros con la función inversa del seno y queda:
1a)
θ = 0, y en general: θ = 0 + 2*k*π, con k ∈ R;
1b)
θ = π, y en general: θ = π + 2*m*π, con m ∈ R;
2)
- 2*senθ + 1 = 0,
haces pasaje de término y queda:
- 2*senθ = - 1,
haces pasaje de factor como divisor y queda:
senθ = 1/2,
compones en ambos miembros con la función inversa del seno y queda:
2a)
θ = π/3, y en general: θ = π/6 + 2*n*π, con n ∈ R;
2b)
θ = 5*π/3, y en general: θ = 5*π/6 + 2*p*π, con p ∈ R.
Espero haberte ayudado.
Hola Unicoos, tengo una duda con ejercicio de trigonometria, y el problema es que no se como hacerlo ya que pareciera que hubiera un error, les pediria me ayuden con este ejercicio como modelo, ya que tengo muchos por hacer muy parecidos. gracias.![]()

Tienes la expresión:
L = sen(45°+α) + sen(45°-α),
aplicas las identidades del seno de la suma de dos ángulos y del seno de la resta de dos ángulos y queda:
L = sen45°*cosα + cos45°*senα + L = sen45°*cosα - cos45°*senα,
reduces términos semejantes (observa que tienes cancelaciones) y queda:
L = 2*sen45°*cosα.
Luego, tienes:
sen45° = √(2)/2,
y en el enunciado tienes (aquí es donde tienes un error de imprenta en el enunciado):
senα = 3/5, con α ∈ II C (segundo cuadrante),
luego aplicas la identidad trigonométrica:
cosα = - √(1 - sen2α) (observa que el coseno es negativo en el segundo cuadrante),
reemplazas valores y queda:
cosα = - √(1 - (3/5)2) = - √(1 - 9/25) = - √(16/25) = - 4/5,
luego reemplazas valores y la expresión queda:
L = 2 * √(2)/2 * (- 4/5) = - 4*√(2)/5.
Espero haberte ayudado.
Interprete la ecuación como una aseveración sobre distancias y determine así la gráfica de la ecuación.

En el primer miembro tienes la expresión de la distancia entre un punto genérico P(x,y) y el punto fijo A(2,0).
En el segudo miembro tienes la expresión de la distancia entre un punto genérico P(x,y) y el punto fijo B(0,2).
Luego, elevas al cuadrado en ambos miembros de la ecuación del enunciado y queda:
(x - 2)2 + y2 = x2 + (y - 2)2, desarrollas los binomios elevados al cuadrado y queda:
x2 - 4x + 4 + y2 = x2 + y2 - 4y + 4, haces pasajes de términos (observa que tienes cancelaciones de términos cuadráticos y de términos constantes) y queda:
- 4x + 4y = 0, divides en todos los términos de la ecuación por 4 y queda:
- x + y = 0, que es la ecuación cartesiana implícita de una recta,
haces pasaje de término y queda:
y = x, que es la ecuación cartesiana explícita correspondiente.
Espero haberte ayudado.