Interprete la ecuación como una aseveración sobre distancias y determine así la gráfica de la ecuación.
Hola,
Tengo una duda respecto a este ejemplo. El posible punto de inflexión de la función es -1 porque en ese valor la derivada segunda es discontinua, pero finalmente dice que f no tiene puntos de inflexión a pesar de que al pasar de un lado a otro de -1 f'' cambia de signo. Eso pasa porque la función original también es discontinua justo en ese mismo punto?
Perdón si la pregunta parece redundante, se que dice algo similar ahí mismo en la imagen, pero no me explica esto en ningún otro lado y llegué a esa conclusión porque dice que la función y su primera derivada son discontinuas en -1 (juro que esto, y que cuando si se pasa de un lado a otro de un posible punto de inflexión no hay cambio de signo, es toda la explicación que tengo en este texto sobre cuando no existiría un punto de inflexión), y como ese era un posible punto de inflexión, si la función es discontinua justo ahí, entonces ya no habría punto de inflexión. Obviamente no estoy segura de que sea así, así que espero que alguien me pueda aclarar la duda.
Gracias!
Para que haya un punto de inflexión en un punto, es condición indispensable que sea continua en ese punto. (si es discontínua en ese punto, NO habrá punto de inflexión en ese punto seguro)
https://es.wikipedia.org/wiki/Punto_de_inflexi%C3%B3n
Buenas tardes,
me podrían indicar si el resultado del apartado a es el correcto y ayudarme con el apartado b ya que no se como plantearlo.
gracias y un saludo.
El apartado a) es correcto.
Te faltaría precisar que, como lim(x->1-) ≠ lim(x->1+) que es una condición de continuidad, la función no es contínua.
¿Qué te piden en el b) ?
Si te piden la continuidad también es muy simple....porque al ser raíz cúbica está definida tanto para valores negativos como positivos, y la única restricción es el valor que haga cero al denominador 3x-6:
3x-6=0 -----> x=2
Luego, el dominio es (-inf,2) U (2,inf)
Así que es continua en todos los valores excepto el 2, en el que no está definida.
Hola David, no he visto algún video que tengas de sistemas de ecuaciones con dos incógnitas, pero que tengan fracciones en las x, y o en todos las componentes...podrías hacer un video de sistemas de ecuaciones con fracciones??? no me aclaro bien.....Gracias!!!!
Igualmente, aporto 1 ejercicio hecho por mí, pero que no coincide con la solución del ejercicio que es y= 0 y x=2.
el ejercicio es: x+y/2 = x-1
x-y/2 = y+1
vale, lo que yo hago es primero hacer el m.c.m. de los denominadores y el resultado lo multiplico por lo de arriba, luego elimino los denominadores. Luego, agrupo las x e y en el lado izquierdo y los enteros en el lado derecho. Una vez agrupados, multiplico el de abajo x(-1) de forma que pueda eliminar las x (método de reducción) a mi me dá de resultado y= -2 y x=-1
no se que he hecho mal...Me podéis echar una mano??Gracias
hola. estoy trabada con este ejercicio, me podéis ayudar? ¿cómo terminaría?
Gracias
sen^2 x .(cosec^2 x - 1 ) = -4 + cos x
sen^2 x .(1/sen^2 x -1) = -4+ cos x
1- sen^2 x = -4 + cos x
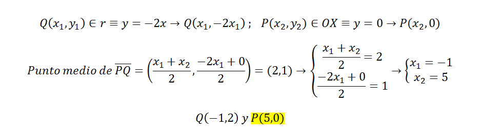
El punto P está en el eje x y el punto Q está en la recta y=-2x. El punto (2,1) es el punto medio del segmento PQ. Calcule las coordenadas del punto P.
Buenas tardes,
es el primer ejercicio de este tipo que realizo podrían indicarme si la solución y el procedimiento es el correcto.
Gracias y un saludo.

Has planteado y desarrollado muy bien el ejercicio, y solo te faltaría indicar cuál es la expresión de la función que queda para k = 1:
f(x) =
x + 3 si x < - 2
2x + 5 si x ≥ - 2,
que efectivamente es continua en x = - 2, y también es continua en el conjunto de los números reales.
Espero haberte ayudado.

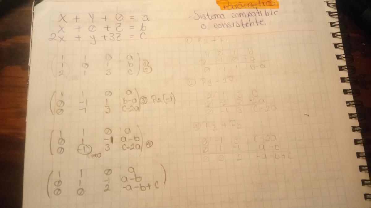
Tal como indica el colega Antonio, observa que has obtenido una matriz ampliada del sistema perfectamente escalonada, con tres filas no nulas, y como el sistema tiene tres incógnitas, el rango de la matriz del sistema (que es la conformada por las tres primeras columnas) es 3, y el rango de la matriz ampliada es 3, tienes que el sistema es compatible determinado, y tiene solución única.
Luego,para determinar su solución y para no lidiar tanto con los coeficientes indeterminados a, b y c, puedes plantear el sistema de ecuaciones escalonado equivalente:
x + y = a
y - z = a-b
2z = -a-b+c.
Divides por 2 en todos los términos de la tercera ecuación y queda: z = (-a-b+c)/2,
luego sustituyes en la segunda ecuación y el sistema queda:
x + y = a
y - (-a-b+c)/2 = a-b.
Haces pasaje de término en la segunda ecuación, extraes denominador común, reduces términos semejantes y queda: y = (a-3b+c)/2,
luego sustituyes en la primera ecuación y queda:
x + (a-3b+c)/2 = a.
Haces pasaje de término en la segunda ecuación, extraes denominador común, reduces términos semejantes y queda: x = (a+3b-c)/2.
Luego, la solución del sistema queda expresada con las tres igualdades remarcadas.
Espero haberte ayudado.
Me podéis ayudar con este problema de distribución Normal:
El número de plazas para cursar 1º de Medicina en cierta universidad representa el 5% del alumnado de 2º Bachillerato. Este año, las notas medias de los estudiantes que acaban Bachillerato siguen una N (6,3; 0,8) Calcula la nota media mínima que debe tener un estudiante para cursar Medicina.