A) Calcula la escala de un mapa en la que 20cm en el plano se representan 70km en la realidad
B) Calcula la escala de un plano en el que el pasillo tiene una longitud de 2cm en el plano y de 4m en la vida real
SOLUCIONES: A) Escala 1:350000 ; B) Escala 1:200
-------------------------------------------------------------------------------------------------------------
A) 70 km= 7000000cm en la realidad
20 cm en el plano
Escala --------> 20:7000000 = 1:350000
-----------------------------------------------------------------------------------------------------------------
B) 4m= 400 cm en la realidad
2 cm en el plano
Escala ------> 2:400 = 1:200
--------------------------------------------------------------------------------------------------------------
Tengo duda sobre cual sería el resultado equivalente de los siguiente
ejercicios, ya que no me había topado con ellos hasta ahora:
1. ¿En este es correcto hacer esta hipótesis?
2. En todo caso, ¿cuál sería la expresión equivalente de...?
,
y


Observa que tienes igualdades abreviadas.
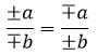
1)
Si consideras los signos "superiores" tienes:
+a / -b = -a / +b, resuelves signos en ambos miembros y queda: - a/b = - a/b, que es Verdadera.
Si consideras los signos "inferiores" tienes:
-a / +b = +a / -b, resuelves signos en ambos miembros y queda: - a/b = - a/b, que es Verdadera.
Por lo tanto, tienes que las igualdad abreviada es Verdadera.
2)
a)
Si consideras los signos "superiores" tienes: +a / +b = resuelves signos = a/b,
si consideras los signos "inferiores" tienes: -a / -b = resuelves signos = a/b,
por lo tanto concluyes que la expresión es equivalente a a/b.
b)
Si consideras los signos "superiores" tienes: +a / -b = resuelves signos = - a/b,
si consideras los signos "inferiores" tienes: -a / +b = resuelves signos = - a/b,
por lo tanto concluyes que la expresión es equivalente a - a/b.
c)
Si consideras los signos "superiores" tienes: -a / -b = resuelves signos = a/b,
si consideras los signos "inferiores" tienes: +a / +b = resuelves signos = a/b,
por lo tanto concluyes que la expresión es equivalente a a/b.
Espero haberte ayudado.

Observa que son transformaciones de la gráfica de la función cuya expresión es: f(x) = x2.
23)
Tienes una reflexión con respecto al eje de abscisas: g(x) = - f(x),
que en este caso queda: g(x) = - x2.
24)
Tienes una composición de traslaciones:
a)
Traslación horizontal hacia la derecha: h(x) = f(x - a) con a > 0,
que en este caso queda: h(x) = (x - 4)2 (observa que el vértice de la parábola tiene abscisa x = 4); y a continuación:
b)
Traslación vertical hacia abajo: v(x) = x - b, con b > 0,
que en este caso queda: (v o h)(x) = v( h(x) ) = v( h(x) ) = v( (x - 4)2 ) = (x - 4)2 - 5 (observa que el vértice de la parábola tiene abscisa x = 4 y ordenada y = - 5),
luego desarrollas y la expresión queda:
(v o h)(x) = x2 - 8x + 16 - 5, reduces términos numéricos y queda:
(v o h)(x) = x2 - 8x + 11.
25)
a)
Traslación horizontal hacia la derecha: h(x) = f(x - a) con a > 0,
que en este caso queda: h(x) = (x - 4)2 (observa que el vértice de la parábola tiene abscisa x = 4); y a continuación:
b)
Traslación vertical hacia abajo: v(x) = x - b, con b > 0,
que en este caso queda: (v o h)(x) = v( h(x) ) = v( h(x) ) = v( (x - 4)2 ) = (x - 4)2 - 16 (observa que el vértice de la parábola tiene abscisa x = 4 y ordenada y = - 16),
luego desarrollas y la expresión queda:
(v o h)(x) = x2 - 8x + 16 - 16, reduces términos numéricos (observa que tienes cancelaciones) y queda:
(v o h)(x) = x2 - 8x.
Espero haberte ayudado.
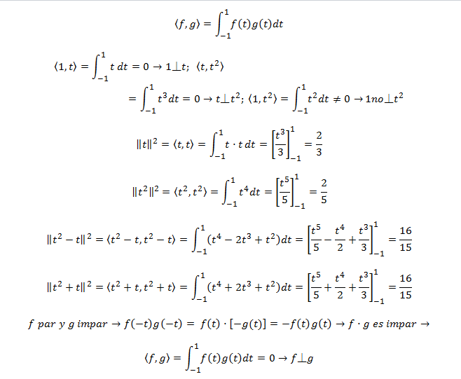
Buenas, en este ejercicio resuelto no entiendo como pasa de la recta inicial a lo que esta rodeado, ya que no se lo que ha hecho con la "y". Gracias de antemano a quien me pueda ayudar.![]()

Observa que tienes las ecuaciones cartesianas de dos planos cuya intersección es la recta r:
x + 2y = 7, de donde despejan: x = 7 - 2y (1)
y + 2z = 4, de donde despejan: z = 2 - y/2 (2)
Luego, definen (esto es arbitrario, y a elección de quién resuelve el ejercicio):
y = 2t (3)
luego reemplazan en las ecuaciones señaladas (1) (2) y quedan:
x = 7 - 2(2t)
z = 2 - (2t)/2,
luego resuelven lo segundos términos en ambas ecuaciones y queda:
x = 7 - 4t (4)
z = 2 - 1*t (5),
luego, quedan las ecuaciones cartesianas paramétricas de la recta r, señaladas (3) (4) (5):
x = 7 - 4t
y = 0 + 2t
z = 2 - 1*t
con t ∈ R,
y observa que tienes las coordenadas de uno de sus puntos, a partir de los términos independientes: A(7,0,2),
y observa que tienes las componentes de uno de sus vectores directores, a partir de los coeficientes que multiplican al parámetro t: u = <-4,2,-1>,
y recuerda que cualquier múltiplo escalar no nulo del vector u puede ser otro vector director de la misma recta.
Espero haberte ayudado.
Se elige "arbitrariamente" tal como te dijo Antonio, aunque con un poco de picardía previendo (con la práctica) que los resultados posteriores de las variables
x = 7 - 4t
y = 0 + 2t
z = 2 - 1*t
te queden lo más "bonitas" posibles (sin fracción en este caso), pero no tiene ninguna importancia a la hora de obtener resultados .
P.D.: Prueba haciendo y=t ....y verás que en la z tendrás una fracción (aunque también así el ejercicio estaría correcto)
En un instituto de 405 alumnos, 295 han aprobado las matemáticas. ¿Qué porcentaje ha suspendido las matemáticas?

Observa que tienes que han suspendido: s = 405 - 295 = 110 alumnos, sobre un total t = 405.
Luego, la fracción de alumnos que han suspendido es: fs = s/t = 110/405 = 22/81,
y el porcentaje de alumnos que ha suspendido Matemática es: p = fs*100 = 2200/81 ≅ 27,16 %.
Espero haberte ayudado.