Como hago la restriccion de un dominio en este problema : f(x)= log|1-x^2| me pide que vea si es biunivoca y si no lo es que restrinja el dominio que lo haga analíticamente.
Me podrian explicar bien dominio restringido
Hola unicoos, espero que estén super, me podrían ayudar a hallar los puntos singulares de la ecuación diferencial, por favor, muchas gracias.

https://es.wikipedia.org/wiki/Teor%C3%ADa_de_Sturm-Liouville
¡Hola! Nos encantaría ayudarte, pero no solemos responder dudas universitarias que no tengan que ver específicamente con los vídeos que David ha grabado como excepción. O de otras asignaturas que no sean Matemáticas, Física y Química. Lo sentimos de corazón… Esperamos que lo entiendas.
Ojalá algún unicoo universitario se anime a ayudarte (de hecho, lo ideal es que todos los universitarios intentarais ayudaros los unos a los otros).
Hola !
Me gustaría saber si alguien me puede ayudar con esta ecuación 》 x (x-3)•(x+1)
Ya lo he intentado varias veces pero no lo consigo. De verdad si alguien me lo puede explicar sería de gran ayuda.
Hola.
Bueno veamos paso a paso para que quede claro
Tenes x * (x-3) * (x+1)
1°) Resolvamos x * (x-3)
Aplicamos distributiva. O sea quedaría: x*x - x*3
Luego, vamos simplificando. x*x = x2
Y x*3 generalmente se pone 3x.
Entonces x * (x-3) = (x2 - 3x)
2°) Ahora, al resultado anterior se lo multiplicamos a lo otro que nos quedaba (es muy importante que le pongas parentesis a lo que hicimos en el paso 1) : (x2 - 3x) * (x+1)
Resolvemos aplicando distributiva: (x2 * x) + (x2 *1) - (3x * x ) - (3x * 1)
Luego, vamos simplificando: x3 + x2 - 3x2 - 3x
Unimos los terminos (los x con los x, los x2 con los x2 y asi...): x3 - 2x2 -3x
Espero haberte ayudado, cualquier cosa pregunta de vuelta. Saludos
Hola, no entiendo este ejercicio, no se lo que hay que hacer.
DECIR VERDADERO O FALSO JUSTIFICANDO
Si f(x) = x3 - x2 + x - 1 , entonces 3f [0,1,2,3] - f [0,1,2] = 1

¡Hola! Nos encantaría ayudarte, pero no solemos responder dudas universitarias que no tengan que ver específicamente con los vídeos que David ha grabado como excepción. O de otras asignaturas que no sean Matemáticas, Física y Química. Lo sentimos de corazón… Esperamos que lo entiendas.
Ojalá algún unicoo universitario se anime a ayudarte (de hecho, lo ideal es que todos los universitarios intentarais ayudaros los unos a los otros).
http://www.mty.itesm.mx/dmti/materias/ma2008/lecturas/ma2008-09a.pdf
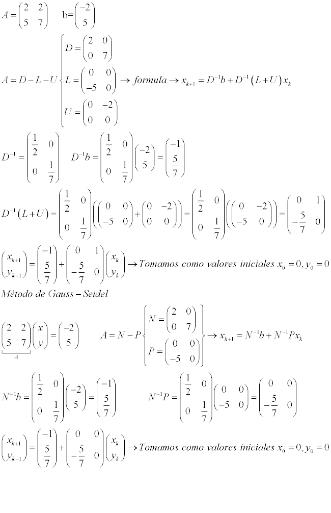
http://www.ingenieria.unam.mx/~pinilla/2011/Tema2/03Jacobi.pdf
A) calcula el área de un sector circular correspondiente a un ángulo de 70º en una circunferencia de 30cm de diámetro
B) ¿Cuánto mide el arco correspondiente de un ángulo de 80º en una circunferencia de 14 cm de diámetro?
A)
Paso 1. El área de un sector circular correspondiente a un ángulo de 360º en una circunferencia de 30cm de diámetro sería:
Acirculo= pi*302= 900pi
Paso 2. Si el área es 900pi con un ángulo de 360º, entonces en un sector circular de 70º el área sería:
360º -------> 900pi
70º -----------> x
x= (900pi*70)/360= 175pi <------ Solución
http://www.vitutor.net/2/1/22.html
Fórmula de la longitud del arco de la circunferencia: ![]()
--------------------------------------------------------------------------------------------------------------------------------------------------------
L= (2pi*14*80)/360 = 6.222pi centímetros = 19.55 centímetros
Perdón! Confundí diámetro con radio!!
Tienes que tener en cuenta que radio=diámetro/2
---------------------------------------------------------------------------------------------------------------------------------
A) radio=30/2= 15 cm
Paso 1. El área de un sector circular correspondiente a un ángulo de 360º en una circunferencia de 15 cm de radio sería:
Acirculo= pi*152= 225pi cm2
Paso 2. Si el área es 225pi con un ángulo de 360º, entonces en un sector circular de 70º el área sería:
360º -------> 225pi
70º -----------> x
x= (225pi*70)/360= 43.75*pi cm2 <------ Solución
---------------------------------------------------------------------------------------------------------------------------------
B) radio=14/2= 7 cm
L= (2pi*7*80)/360 = (3.111*pi) cm = 9.77 centímetros
---------------------------------------------------------------------------------------------------------------------------------