Hola Unicoos, porfis necesito que me despejen una duda ...
cual es la diferencia entre derivable y diferenciable? Muchisimas gracias!!!
Una f(x) es derivable si existe su derivada, en términos generales, o bien sus límites laterales, y es diferenciable en un PUNTO si existe el límite en dicho punto, por tanto, es evidente que porque sea diferenciable también tiene que ser derivable (condición necesaria), de la misma forma que porque sea derivable tiene que ser contínua (condición necesaria), así como si es contínua y derivable pero no necesariamente diferenciable.
Saludos
Hola , alguien que me pueda ayudar con esta demostracion de sub espacio porfavor, muchas gracias


1)
Puedes ver que el vector nulo: N = <0,0,0>, cuyo módulo es igual a cero, no pertenece al subconjunto W.
2)
Puedes considerar dos elementos del conjunto W:
u = <1,0,0> y v = <0,1,0>, cuyos módulos son iguales a 1;
luego plantea su suma:
u + v = <1,1,0>, y observa que su módulo es: |u + v| = √(2) ≠ 1,
por lo que tienes que el vector suma no pertenece al subconjunto W.
3)
Puedes considerar un múltiplo escalar de un vector del subonjunto W, por ejemplo:
w = 4*u = 4*<1,0,0> = <4,0,0>, cuyo módulo es: |w| = 2 ≠ 1,
por lo que tienes que el vector múltiplo no pertenece al subconjunto W.
Luego, con cualquiera de los tres contraejemplos que hemos presentado, puedes concluir que W no es subespacio vectorial de R3.
Espero haberte ayudado.
Hola, me pueden ayudar con estas transformaciones lineales.
En cada caso, si es posible, dar una transformación lineal T de Rn en Rm que satisfaga las condiciones exigidas. Si existe, estudiar la unicidad y si no existe explicar por que no es posible definirla.
a) T(0,1) = (1,2,0,0) ; T(1,0) = (1,1,0,0)
b) T(1,1,1) = (0,1,3) ; T(1,2,1) = (1,1,3) ; T(2,1,1) = (3,1,0)
Desde ya muchas gracias
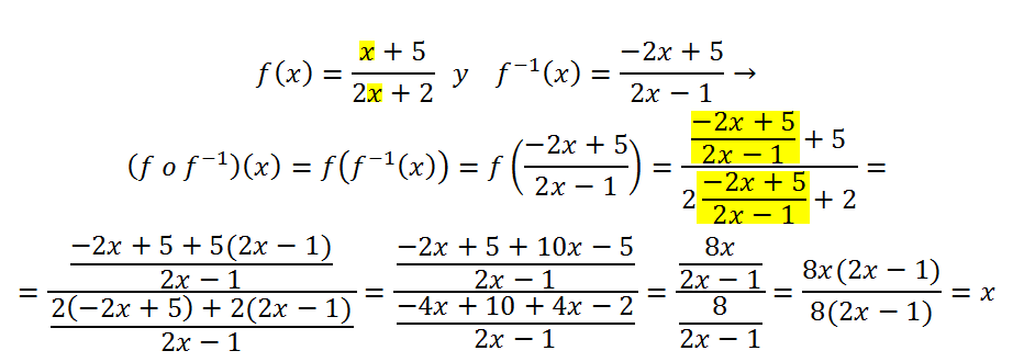
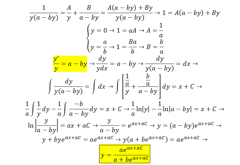
Hola por favor me podrían ayudar con esta ecuación diferencial por el método de fracciones parciales no bernoulli
hola disculpen alguno de ustedes saben graficar diagramas fase y trayectoria de tiempo en ecuaciones diferenciales si es asi me podrian dejar un ejemplo facil para entender por favor

¡Hola! Nos encantaría ayudarte, pero no solemos responder dudas universitarias que no tengan que ver específicamente con los vídeos que David ha grabado como excepción. O de otras asignaturas que no sean Matemáticas, Física y Química. Lo sentimos de corazón… Esperamos que lo entiendas.
Ojalá algún unicoo universitario se anime a ayudarte (de hecho, lo ideal es que todos los universitarios intentarais ayudaros los unos a los otros).
Si pones una breve explicación de tu razonamiento (media línea vale) mejor que mejor :D
A mí me salen dos resultados y ninguno coincide con el tuyo :S ...en un par de horas los digo
((he indagado por internet en busca de respuesta oficial y no la he hallado, hay infinidad de opiniones))
**Se admiten más intentos :P
Un saludo!
Comprendo lo que has hecho, pero recuerda que las matemáticas son rigor :D
Prueba a ponerlo en la calculadora tal como está y verás que ni de lejos te dá 12, aparte hay que tener en cuenta alguna cosilla más (creo yo)
De todas formas luego te cuento (por no condicionar a otras posibles respuestas)
Coincido contigo en el resultado del 2, por exactamente la razón que has dado :D
El otro resultado que creo que tendría cabida es (si lo piensas en binario y sus propiedades de suma y producto correspondientes) sería 10, porque:
1+(1*0)+1= 1+0+1= 1+1= 10
http://www.lavanguardia.com/vida/20170722/424281373317/enigma-semana-suma-unos.html
((como podrás observar hay multitud de opiniones y no un solucionario para contrastar))