Foro de preguntas y respuestas de Matemáticas

logo beUnicoos
Los foros de unicoos se han unificado en nuestra nueva plataforma beUnicoos. Para dejar nuevas preguntas deberás hacerlo allí, donde además podrás encontrar nuevas asignaturas y herramientas para ayudarte más con tus estudios.

  • icon

    lilydita ledesma
    el 24/7/17

    Hola,me pueden ayudar con este ejercicio por favor : Hallar la suma de los múltiplos de 17 que no son múltiplos de 5 entre 4000 y 12500..desde ya muchas gracias 

    replythumb_up0 voto/sflag
    icon

    Ángel
    el 24/7/17

    4000:17=235.29...

    El primer número que es múltiplo de 17 que no es múltiplo de 5 entre 4000 y 12500 es: 236*17= 4012

    Conjunto de múltiplos de 17 entre 4000 y 12500: A= {4012, 4012+17, (4012+17)+17, .....12495}

    Los números a descartar del conjunto anterior son: B={4080, 4080+85, (4080+85)+85, ......., 12495}    <-----------Múltiplos de 5 del conjunto A

    C= A-B

    Conjunto buscado: Suma de los elementos de C


    thumb_up1 voto/sflag
    icon

    César
    el 24/7/17


    thumb_up1 voto/sflag
  • icon

    Blanca Rodríguez Fernández
    el 24/7/17

    Calcula la suma de los 12 primeros términos de la progresión aritmética cuyo término general es an= 5n/2 + 1/2 .

    replythumb_up0 voto/sflag
    icon

    César
    el 24/7/17

    a1=3

    a12=61/2

    Suma =(n/2)(a1+a12)=12/2(3+61/2)=201

    thumb_up1 voto/sflag
  • icon

    Santiago Jose
    el 24/7/17
    flag

    Hola, alguien me puede decir mas o menos que significa esto y que quiere decir con ''δ=δ(ε)''?


    replythumb_up0 voto/sflag
    icon

    Guillem De La Calle Vicente
    el 24/7/17

    Entiendo que proporciona una relación lineal entre delta y epsilon, y que la reedefinición de delta no es independiente sino que depende de epsilon, eso encajaría con la definición de límite si es lo que estas mirando.

    thumb_up0 voto/sflag
    icon

    Ángel
    el 24/7/17

    El diferencial (incremento de x en este caso) es igual a un incremento infinitamente pequeño (para que te hagas una idea epsilon es lo más pequeño que puedas imaginar)

    thumb_up0 voto/sflag
    icon

    Guillem De La Calle Vicente
    el 24/7/17

    Claro Maths, otra interpretación muy correcta. Esta es la idea de límite. Que tú puedes encontrar un epsilon tan pequeño como quieras (sin ser nunca 0 pero si tan cerca como quieras).

    thumb_up0 voto/sflag
  • icon

    Roberto Villon
    el 24/7/17

    Hola me podrias ayudar con este ejercicio porfa 


    replythumb_up0 voto/sflag
    icon

    Guillem De La Calle Vicente
    el 24/7/17


    thumb_up0 voto/sflag
  • icon

    Guillem De La Calle Vicente
    el 24/7/17

    Describa los gráficos de las ecuaciones siguientes.

    1. x²+y²=1

    2. x²+y²=2

    replythumb_up0 voto/sflag
    icon

    Eduardo Morales
    el 24/7/17

    Circunferencias con centro en el origen y radios respectivamente 1 y √2

    thumb_up0 voto/sflag
  • icon

    Marcelo Vaquilema
    el 24/7/17
    flagflag

    Ayuda necesito generalizar un factorial en concreto (2n)!, por las definiciones del factorial se que (2n)! = (2n)*(2n-1)...*(2*2)*(2*1), pero como existen n terminos seria mas o menos como esto (a1)*(a2)*...*(an-1)*(abn) = (a^n)b! entonces asumiria que (2n)!=(2^n)n! pero si cualculo con n=3, (2*3)!=(2*3)*(2*2)*(2*1)= (2^3)3! = 48 pero

    (2*3)!=6!=720, por lo tanto (2n)! no es igual a (2^n)n!.

    Ayudenme mañana tengo examen y necesito saber como reducir ese factorial.


    replythumb_up0 voto/sflag
    icon

    Ángel
    el 24/7/17

     

    (2*3)!=(2*3)*[(2*3)-1]*[(2*3)-2]*[(2*3)-3]*2*1 = 6*5*4*3*2*1=720

    thumb_up0 voto/sflag
  • icon

    Bryam L Maldonado
    el 24/7/17

    Me podrian ayudar porfa 


    replythumb_up0 voto/sflag
    icon

    Guillem De La Calle Vicente
    el 24/7/17


    thumb_up1 voto/sflag
  • icon

    Gonzalo Blanc
    el 24/7/17

    Hola, que tal, alguien me podría ayudar con el ejericio Nº11 de analisis matemático 1. No lo entiendo, intente varias veces pero no pude y la solución según el libro es x > 30.000



    replythumb_up0 voto/sflag
    icon

    Guillem De La Calle Vicente
    el 24/7/17


    thumb_up1 voto/sflag
    icon

    Gonzalo Blanc
    el 24/7/17

    Muchas gracias !!

    thumb_up0 voto/sflag
  • icon

    Camila Acosta
    el 24/7/17

    En un colegio el 80% de los colegiales estudian inglés, y de cada tres colegiales, uno estudia inglés y francés.¿ La probabilidad de que un estudiante de inglés lo sea también de francés es?

    replythumb_up0 voto/sflag
    icon

    Ángel
    el 24/7/17

    P(Inglés)=0.8

    P(Inglés∩Francés)=1/3

    P(Francés|Inglés)=¿?


    P(Francés|Inglés)= [P(Inglés∩Francés)]÷[P(Inglés)]= (1/3)÷0.8 = 0.416666


    thumb_up1 voto/sflag
  • Usuario eliminado
    el 24/7/17
    flag

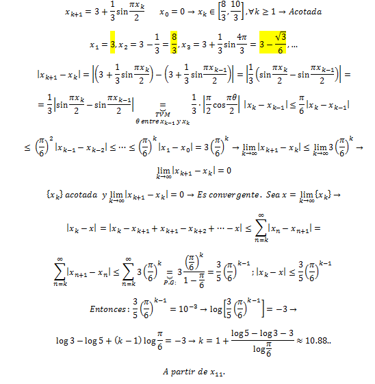
    ¿Es convergente la sucesión a(k+1) = 3 + (1/3)sen(pi·a(k)/2); a(0)=0? Si es convergente, ¿a partir de qué n dista a(n) del límite menos de 10^(-3)?


    replythumb_up0 voto/sflag
    icon

    Antonius Benedictus
    el 24/7/17

    Fernando, mejor pon foto del enunciado original y te la explicamos.


    thumb_up0 voto/sflag
    icon

    Antonius Benedictus
    el 24/7/17


    thumb_up1 voto/sflag
    icon

    Antonius Benedictus
    el 25/7/17

    No son resultados contradictorios. Se trata de encontrar al menos un valor a partir del cual se verifique.

    thumb_up1 voto/sflag