buenas
Estoy realizando el problema siguiente:
Julia gastó 1/3 del dinero que tenía en libros y 2/5 en discos. Si le han sobrado 36 €, ¿cuánto tenía?
y lo que no entiendo es de pasar lo 4 quinceavos a multiplicar los 36 por los quince-cuartos

4/15 del total son 36 euros
esa frase la traducimos a una ecuación en donde la x es el total y queda así:
(4/15) * x = 36
Ahora sólo falta despejar la x de la ecuación (lo que multiplica a la x pasa dividiendo al otro lado de la igualdad y lo que divide a la x pasa multiplicando) y queda así:
x = (15*36)/4
x = 135 euros
En un problema de regla de tres compuesta en las que me den las longitudes es necesario calcular su área si se puede calcular, (por ejemplo el rectángulo) o no es necesario y puedo hacer todos los ejercicios sin ningún problema sin calcular el área sin que jamás me ocurra una excepción, es decir, si calculo el área de lo que me dan aquí abajo uniéndolo todo en uno Averja ya no haría falta comparar el largo y el ancho por separado con la incógnita, obteniéndose una sola comparación para determinar si es directa o inversa con esa área total, la pregunta es además de las otras que si al hacer esto ABRÍA ALGÚN PROBLEMA EN UN EJERCICIO donde la altura y el ancho comparadas por separado sean diferentes compuestos siendo una directa y la otra inversa entre esa incognita o entre ellas mismas.
ejemplo: Con 12 botes conteniendo cada uno ½ kg de pintura se han pintado 90 m de verja de 80 cm de altura. Calcular cuántos botes de 2 kg de pintura serán necesarios para pintar una verja similar de 120 cm de altura y 200 metros de longitud.
No hay que calcular el área ni mucho menos en este ejercicio
Ejemplo:
Cuanto más kilos de pintura, se necesitan menos botes--> Inversa
Cuantos más metros cuadrados, más botes--> Directa
[2/(1/2)]*[(90*0.8)/(200*1.2)]=12/x ------------->
x= [12*(1/2)*200*1.2]/(2*90*0.8) = 10 botes serán necesarios para pintar una verja similar de 120 cm de altura y 200 metros de longitud.
http://www.vitutor.com/di/p/a_9.html
http://www.vitutor.com/di/p/a_11.html
Hola, no me aclaro en trigonometría, para pasar de forma compleja a incompleja y viceversa....como se debe de hacer??
Gracias de antemano!!
Hola,
buenos dias, tengo algunas dudas con este teorema, agradecería si me pueden
ayudar.
2) Aun no me queda claro esa definición ,ya que los Xn son la imagen de una sucesión o sea son puntos que pertenecen al dominio de la función, al aplicar f (Xn) me quedarían puntos separados porque entre un Xn y otro por mas que estén cerca ,siempre abra una distancia , por ende al aplicar f a esos Xn que están separados la función no puede ser continua en la cercanías del punto a :/ quien podrían orientarme?
Perdón por tanta vuelta pero lo analizo una y otra vez y no me cierra
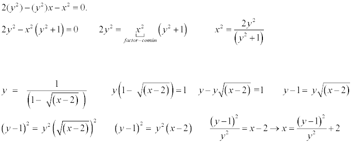
LLevo horas y horas tratando de despejar la variable x de las dos siguientes ecuaciones. ¿Me echáis una mano? Ya ando desesperada :(
La primera: 2(y^2) - (y^2)x -x^2 = 0.
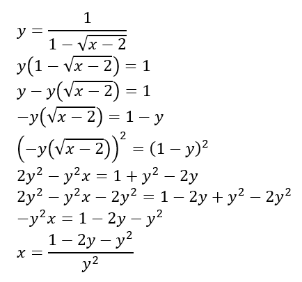
La segunda: y = 1 / (1- sqrt(x-2) ) ---> y = 1 (1 + sqrt(x-2)) / 1 -x +2
Más que el resultado, busco SABER cómo se hace para despejar la x....
Pruebo y pruebo y no se me vienen herramientas a la cabeza, estoy un poquito oxidada...
Ojalá me podáis ayudar, aunque sólo sea con la primera que planteo. Muchas gracias de antemano. Un saludo a tods
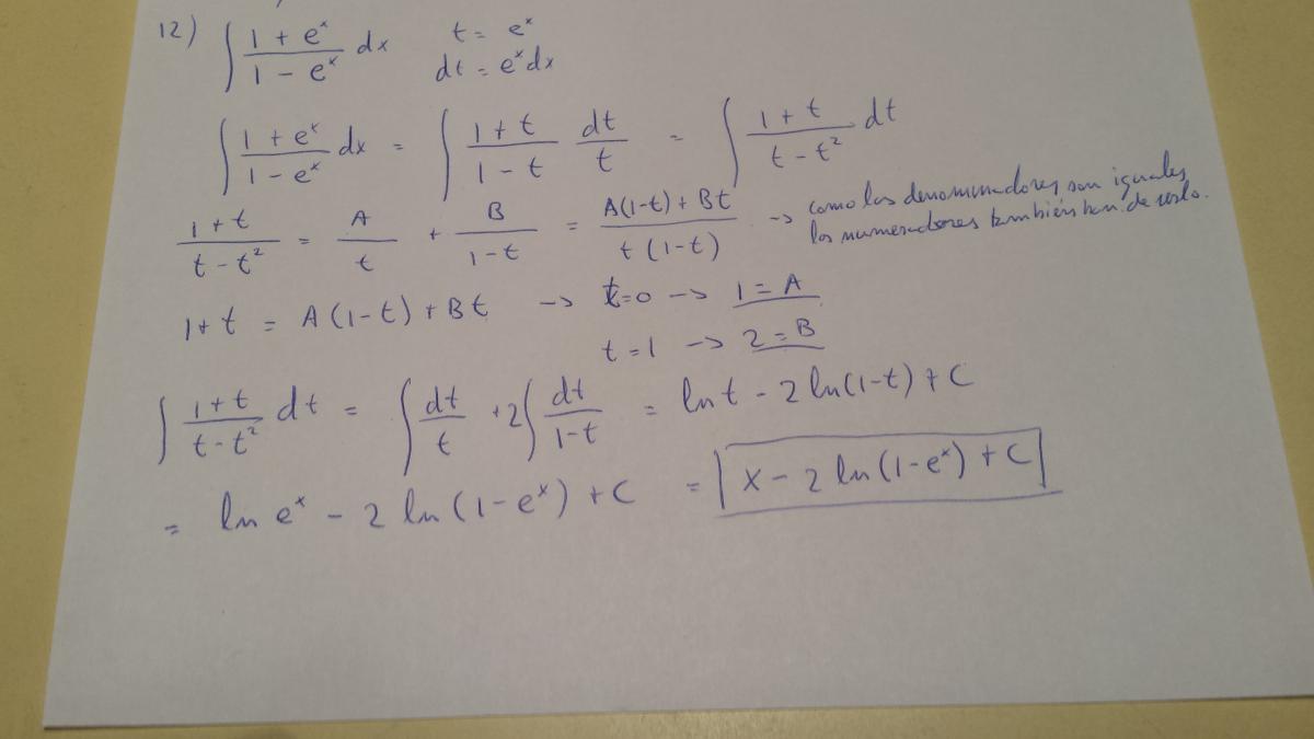
Me ayudan con esta integral, es facil pero tengo un pequeño error y supongo que debe estar Resolviendo indefinidamente ((x+6)-3)2
El resultado de la integral es 108π/5
Podrían ayudarte estos vídeos...
Para el segundo ejercicio:
https://www.unicoos.com/video/tecnologia/4-eso/electronica-digital/puertas-logicas/puertas-logicas-and-or-not-nand-nor
https://www.unicoos.com/video/tecnologia/4-eso/electronica-digital/puertas-logicas/funcion-logica-a-partir-de-un-circuito
Para el tercero:
https://www.unicoos.com/video/tecnologia/4-eso/electronica-digital/puertas-logicas/circuito-de-una-funcion-con-puertas-logicas
Como excepción (sólo esta vez, ya que como apunta Guillem estos ejercicios te los resolverán mejor en otros foros) podríamos intentar echarte un cable con alguna duda muy puntual con algún apartado si previamente lo has intentado y nos mandas lo que hayas conseguido hacer (y no olvides hacer una foto más nítida del enunciado de lo que intentes, porque tu imagen adjunta no se ve nada clara)
Resuelva la inecuación dada interpretándola como aseveraciones sobre distancias en la recta real.
|x-3|<2|x|
|x-3|<2|x|
(x-3)2<(2x)2
x2+9-6x<4x2
0<3x2+6x-9
3x2+6x-9>0
3x2+6x-9=0
x1=-3, x2=1
(x+3)*(x-1)>0 ((observa que menos por menos es igual a mas por mas y esto es igual a más))----> Condición buscada
Mediante tanteo o con una pequeña tabla puedes comprobar que los números comprendidos en el intervalo (-inf,-3) U (1,inf) hacen (x+3)*(x-1) positivo