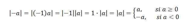
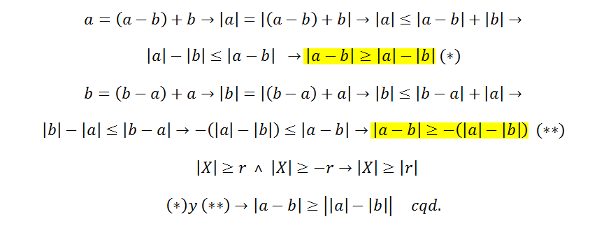
¡Hola! Ayer le mandé este ejercicio a mi profesor y me dijo que está mal. ¿Alguien podría decirme en dónde me equivoqué? Es que he hecho el ejercicio una y otra vez, incluso viendo los vídeos de David, y siempre llego a esta solución, ¡Gracias!
hola , estoy intentando realizar un ejercicio que me piden calcular las dimensiones de un rectángulo conociendo su diagonal que mide 15m y su área 12m2.
he estado viendo videos de youtube y ninguno me ha resuelto la duda, algunos utilizan cos y tan pero yo no he dado eso todavía, así que si sabes como se hace ayudaaa.

¡Hola! Nos encantaría ayudarte, pero no solemos responder dudas universitarias que no tengan que ver específicamente con los vídeos que David ha grabado como excepción. O de otras asignaturas que no sean Matemáticas, Física y Química. Lo sentimos de corazón… Esperamos que lo entiendas.
Ojalá algún unicoo universitario se anime a ayudarte (de hecho, lo ideal es que todos los universitarios intentarais ayudaros los unos a los otros).

¡Hola! Nos encantaría ayudarte, pero no solemos responder dudas universitarias que no tengan que ver específicamente con los vídeos que David ha grabado como excepción. O de otras asignaturas que no sean Matemáticas, Física y Química. Lo sentimos de corazón… Esperamos que lo entiendas.
Ojalá algún unicoo universitario se anime a ayudarte (de hecho, lo ideal es que todos los universitarios intentarais ayudaros los unos a los otros).