Foro de preguntas y respuestas de Matemáticas

logo beUnicoos
Los foros de unicoos se han unificado en nuestra nueva plataforma beUnicoos. Para dejar nuevas preguntas deberás hacerlo allí, donde además podrás encontrar nuevas asignaturas y herramientas para ayudarte más con tus estudios.

  • icon

    Teodormiro Masillano
    el 18/7/17
    flagflag

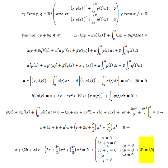
    ¿Esto es Una ecuacion Diferencial? F = dp/dt


    p es momemtum y t es tiempo es la ecuacion original de newton.

    p = m*v

    F = d(m*v)/dt
    F = v*dm/dt + m*dv/dt (derivativa de cadena, o regla d multiplicacion de derivativas o como de llame)

    dm/dt = 0 asumiendo que la masa del objeto no cambia sobre el tiempo.

    F = m*dv/dt
    F = m*a

    replythumb_up0 voto/sflag
    icon

    Guillem De La Calle Vicente
    el 18/7/17

    La deduccion es buena, y la pregunta de si es una ecuación diferencial... Pues depende del contexto, habría que aclarar que es lo que quieres despejar supongo...

    Si quieres hallar p, y F es una función, por ejemplo, mediante separación de variables Fdt=dp. Integral(F dt)=Integral(dp)+cte. De donde p=cte+Integral(F dt)... Y "estará resuelta la ecuación diferencial"

    (Integral ---> indefinida, por eso he sacado una "constante" sumando... Se podría omitir y poner la integral definida)

    thumb_up0 voto/sflag
    icon

    Antonius Benedictus
    el 18/7/17

    Teodomiro, pon foto del enunciado original, por favor.

    thumb_up0 voto/sflag
    icon

    Teodormiro Masillano
    el 18/7/17

    Lo que la persona queria probar era que F=ma era una ecuacion diferencial.. y para eso coloco ese ejmplo.. Lo que a mi me parecio resolver una derivada nada mas... Y por esa duda quise preguntar a un sitio que supieran de matematica. 


    thumb_up0 voto/sflag
  • icon

    Guillem De La Calle Vicente
    el 18/7/17

    De los 100 alumnos de una escuela de idiomas, sabemos que hay 45 matriculados a primero de inglés, 30 matriculados a segundo de inglés y 20 matriculados a primero de alemán. Cómo es obvio, no se puede estudiar primero y segundo de un mismo idioma al mismo tiempo, pero hay 10 alumnos que estudian primero de inglés y primero de alemán al mismo tiempo, y hay 5 que estudian segundo de inglés y primero de alemán simultáneamente.
    Cogemos a un alumno de la escuela al azar: ¿cuál es la probabilidad de que no estudie ni primero de inglés, ni segundo de inglés ni primero de alemán?

    replythumb_up0 voto/sflag
    icon

    Antonius Benedictus
    el 18/7/17


    thumb_up0 voto/sflag
    icon

    Guillem De La Calle Vicente
    el 19/7/17


    thumb_up0 voto/sflag
  • icon

    jonathan bustamante
    el 18/7/17

    Hola como les va? Queria preguntarles de porque da uno el  "lim de senx/x =1" da uno? me gustaria que me ayuden a poder entender esta demostracion porfavor ya que rindo un final la proxima semana,con una simple explicacion para explicarle a mi profesor basta y sobra! Muchas Gracias!

    replythumb_up0 voto/sflag
    icon

    Guillem De La Calle Vicente
    el 18/7/17

    Supongo que da 1 cuando x tiende a 0.

    thumb_up1 voto/sflag
    icon

    Guillem De La Calle Vicente
    el 18/7/17


    thumb_up1 voto/sflag
    icon

    Antonius Benedictus
    el 18/7/17


    thumb_up1 voto/sflag
  • icon

    Guillem De La Calle Vicente
    el 18/7/17

    Decid a cuál de las diferentes interpretaciones de la probabilidad corresponde la afirmación siguiente:
    Un dado está formado por seis caras y a priori nada nos hace pensar que alguna de estas caras tenga que tener una probabilidad mayor que las otras de salir, y por eso la probabilidad de obtener 4 al lanzar un dado es de uno sexto.

    replythumb_up0 voto/sflag
    icon

    Antonius Benedictus
    el 18/7/17

    Entonces, se admite el "postulado de indiferencia" en un espacio probabilístico finito, y estamos ante la definición clásica de probabilidad (casos a favor partido por casos totales), o Regla de LAPLACE.

    thumb_up0 voto/sflag
    icon

    Guillem De La Calle Vicente
    el 18/7/17

    Correcto.

    thumb_up0 voto/sflag
  • icon

    Bet
    el 18/7/17


    ¿Por qué razón da negativo? a mi me da lo mismo pero sin el ''menos''

    replythumb_up0 voto/sflag
    icon

    Antonius Benedictus
    el 18/7/17

    Si a<0, entonces  (-a)>0  y el módulo de un vector es siempre no-negativo.

    thumb_up0 voto/sflag
  • icon

    Paolo Salas
    el 18/7/17

    1.  Una ayuda con esta inecuacion porfa, tbn su grafico uu

    replythumb_up1 voto/sflag
    icon

    Antonius Benedictus
    el 18/7/17


    thumb_up0 voto/sflag
  • icon

    Ryan Benitez
    el 18/7/17

    No se si podrían ayudarme con estos ejercicios

    1)La media de pesos de 500 estudiantes en un colegio es de 70 kilogramos con una desviacion tipica de 3 kg. Calcula la probabilidad de que al elejir un alumno al azar este pese mas de 90 kg

    2)Un submarino utiliza un sonar para determinar que un barco se encuentra a 4 millas al Este y viaja a 10 millas por horas con direccion Norte 62° Este. Si el submarino viaja a 18 millas por hora

    ¿en que direccion debe desplazarse para interceptarlo y en que tiempo lo interceptara?

    De antemano gracias

    replythumb_up0 voto/sflag
    icon

    Antonius Benedictus
    el 18/7/17

    icon

    Ángel
    el 18/7/17

    1) Ya que no lo especificas en tu enunciado, supondré que los pesos se distribuyen normalmente:

     P(X>90) = p( Z>[(90-70)/3] ) = p( Z>[6.6666] ) = 1-p( Z<6.6666 ) = 1-1 = 0

    La probabilidad de que un alumno escogido al azar pese más de 90 kg es de cero 


    **En la práctica cabría la posibilidad de que hubiera algún/os valores atípicos (outliers), los cuales han sido descartados teóricamente al suponer una distribución normal.

    thumb_up1 voto/sflag
  • icon

    Diego Abarca
    el 18/7/17


    Buenas me podrían ayudar con esos 3 ejercicios? Necesito el procedimiento ya que no entiendo bien como hacerlos, de antemano, gracias.

    replythumb_up0 voto/sflag
    icon

    Antonius Benedictus
    el 18/7/17

    Te va el 1º, Diego. Esto es muy largo, así que paciencia, que hay más gente esperando ayuda. 


    thumb_up1 voto/sflag
    icon

    Diego Abarca
    el 18/7/17

    Muchas gracias, esperaré por el resto!

    thumb_up0 voto/sflag
    icon

    Antonius Benedictus
    el 18/7/17

    Revisa las operaciones:


    thumb_up1 voto/sflag
    icon

    Antonius Benedictus
    el 18/7/17

    Lamento comunicarte que el nº 2 no lo acabo de entender.

    thumb_up1 voto/sflag
  • icon

    francisco constantini
    el 18/7/17

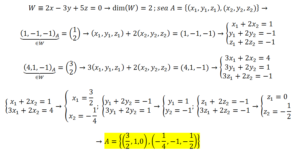
    hola necesito ayuda con este ejercicio :Obtener  la ecuación vectorial, L es una recta perpendicular a X=(0, 0,1) + t(-1, 2,-2) , t ∈ R , y pasa por el punto (-3, 2, 1). ¿Es única? y quiero saber como me doy cuenta viendo en  la ecuación  vectorial de las rectas  cuando son paralelas, perpendiculares, concurrentes, coincidentes y alabeadas, con solo ver sus vectores directores . les agradezco mucho 


    replythumb_up0 voto/sflag
    icon

    Antonio
    el 18/7/17

    Halla el plano que siendo perpendicular a la recta dada pasa por el punto

    intercepta plano y recta hallando el punto Q

    la recta pedida es la que pasa por el punto y Q

    thumb_up1 voto/sflag
  • icon

    Samuel Tulande
    el 18/7/17

    HOLA 

    eh quisiera saber si me podrían ayudar me dejaron una actividad que no entiendo la verdad no pude asistir y pues ya eh buscado en Internet como se hace esto pero nada que lo encuentro y quisiera saber si acá me despejarían las dudas tan tremendas que tengo : El tema es Simplificacion de Radicales.. tengo por ejemplo operaciones como √18 ,  3 √48,  ∛16,  2a √44a3 b7 c9  y de estos son 27 


    replythumb_up0 voto/sflag