
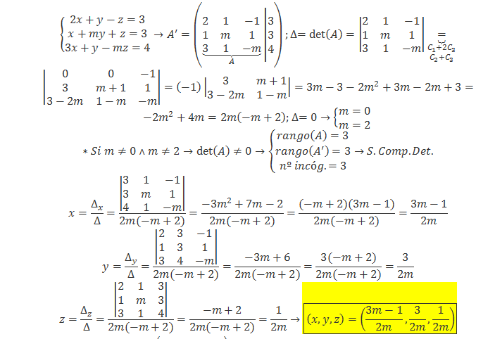
Tienes un sistema de tres ecuaciones lineales y de primer grado, con tres incógnitas, cuya matriz tiene los elementos
A =
2 1 -1
1 m 1
3 1 -m.
Luego plantea su determinante (te dejo la tarea) y queda
|A| = - 2m2 + 4m = - 2m(m - 2).
Luego, observa que tienes tres casos:
1)
Si |A| ≠ 0, que corresponde a m ≠ 0 y m ≠ 2, entonces tienes un sistema compatible determinado con solución única.
2) Si m = 0, plantea la matriz ampliada cuyos elementos son:
2 1 -1 3
1 0 1 3
3 1 0 4,
luego realizas operaciones elementales hasta reducir y escalonar la matriz (te dejo la tarea),
y verás que el sistema resulta ser incompatible.
3) Si m = 2, plantea la matriz ampliada cuyos elementos son:
2 1 -1 3
1 2 1 3
3 1 -2 4,
luego realizas operaciones elementales hasta reducir y escalonar la matriz (te dejo la tarea),
y verás que el sistema resulta ser compatible indeterminado.
Espero haberte ayudado.
3 -1 2
2 1 1
1 -3 0
Esta matriz es A
AX=0
Como hago eso, se que es facil pero no me acuerdo, gracias
Hola como resuelvo las derivadas como esta? Sen(cos(2x)) por multiplicación o regla de la cadena? Yo lo he hecho por la regla de la cadena... Seria: cos(cos(2x))*(-senx)*2... No se puede hacer por multiplicación, por que? Que diferencia hay?

Tienes la expresión de la función:
f(x) = sen( cos(2x) ),
y observa que tienes una composición de tres funciones, cuyas expresiones son:
2x (polinómica), cos(u) (coseno) y sen(w) (seno);
y es en estos casos cuando aplicas la regla de la cadena para derivar.
Luego, la expresión de la función derivada queda:
f ' (x) = cos( cos(2x) )*( - sen(2x) )*2 = - 2*sen(2x)*cos( cos(2x) ).
Espero haberte ayudado.
Decidir si los sistemas son equivalantes y si lo son expresar cada ecuación del primer sistema como combinación lineal de las ecuaciones del segundo.
Qué significa expresarlo como combinación lineal del segundo?
x-y = 0 3x+y=0
2x+y=0 x+y=0

Puedes verificar que los dos sistemas son homogéneos y tienen solución única: x = 0, y = 0.
Luego, plantea para cada una de las ecuaciones del primer sistema, que es igual a una suma de múltiplos escalares de las ecuaciones del segundo sistema (llamamos a, b, c, d a los escalares, y observa que planteamos las combinaciones lineales para los primeros miembros de las ecuaciones):
1)
a*(3x + y) + b*(x + y ) = x - y, distribuyes en el primer miembro y queda:
3a*x + a*y + b*x + b*y = 1*x - 1*y, extraes factores comunes en los términos de una misma incógnita y queda:
(3a + b)*x + (a + b)*y = 1*x - 1*y, luego comparas término a término y queda el sistema
3a + b = 1
a + b = - 1,
resuelves el sistema (te dejo la tarea) y queda a = 1, b = - 2;
luego reemplazas en la ecuación remarcada y queda:
1*(3x + y) - 2*(x + y ) = x - y,
y la primera ecuación del primer sistema queda expresada:
1*(3x + y) - 2*(x + y ) = x - y = 0
2)
c*(3x + y) + d*(x + y ) = 2x + y, distribuyes en el primer miembro y queda:
3c*x + c*y + d*x + d*y = 2x +1y, extraes factores comunes en los términos de una misma incógnita y queda:
(3c + d)*x + (c + d)*y = 2x + 1y, luego comparas término a término y queda el sistema
3c + d = 2
c + d = 1,
resuelves el sistema (te dejo la tarea) y queda c = 1/2, d = 1/2;
luego reemplazas en la ecuación remarcada y queda:
(1/2)*(3x + y) + (1/2)*(x + y ) = 2x + y,
y la segunda ecuación del primer sistema queda expresada
(1/2)*(3x + y) + (1/2)*(x + y ) = 2x + y = 0.
Espero haberte ayudado.