
Tienes la ecuación polinómica cúbica:
2a3 + 6a2 - 8 = 0, divides por 2 en todos los términos de la ecuación y queda:
a3 + 3a2 - 4 = 0,
observa que no es factorizable en forma sencilla (recuerda que para factorizar, siempre debes tener 0 en el segundo miembro), por lo que debes investigar reemplazando valores hasta encontrar una solución.
Observa que a = 1 es una solución de la ecuación, por lo que aplicas la Regla de Ruffini (te dejo la tarea), y el primer miembro queda factorizado, por lo que la ecuación queda:
(a - 1)*(a2 + 4a + 4) = 0,
factorizas el argumento del segundo agrupamiento (observa que es un trinomio cuadrado perfecto) y queda:
(a - 1)*(a + 2)2 = 0,
luego, por anulación de un producto tienes dos opciones:
a - 1 = 0, de donde despejas a = 1 (que ya habíamos determinado),
(a + 2)2 = 0, de donde despejas: a + 2 = 0, y luego despejas: a = - 2,
que son las dos soluciones de la ecuación del enunciado.
Espero haberte ayudado.
Hola buenos dias,
Necesito vuestra ayuda, no se como resolver este problema.
Gracias

Puedes llamar x a la longitud de la base del rectángulo, y puedes llamar y a la longitud de su altura.
Luego, plantea para su perímetro:
2x + 2y = 23 m.
Luego, plantea para su superficie:
x*y = 19 m2.
Luego, tienes el sistema de dos ecuaciones con dos incógnitas (cuyos valores deben ser estrictamente positivos,
porque son las longitudes de los lados del rectángulo):
2x + 2y = 23, de aquí despejas: 2y = 23 - 2x, y luego despejas: y = (23 - 2x)/2 (1)
x*y = 19,
luego sustituyes la expresión señalada (1) en la segunda ecuación y queda:
x*(23 - 2x)/2 = 19, haces pasaje de divisor como factor, distribuyes en el primer miembro, y queda:
23x - 2x2 = 38, haces pasaje de término, ordenas términos y queda
- 2x2 + 23x - 38 = 0, multiplicas por -1 en todos los términos de la ecuación y queda:
2x2 - 23x + 38 = 0, que es una ecuación polinómica cuadrática cuyas soluciones son:
a) x = 19/2 = 9, 5 m, reemplazas en la ecuación señalada (1) y queda: y = (23 - 2(9,5))/2 = 4/2 = 2 m;
b) x = 2 m, reemplazas en la ecuación señalada (1) y queda y = (23 - 2(2)/2 = 19/2 = 9,5 m.
Luego, puedes concluir que los lados del rectángulo miden 2 m y 9,5 m.
Espero haberte ayudado.
hola, me pueden explicar como hacer este ejercicio:
1) Si A,B,C son matrices 3x3 tales que detA= a, detB= b y detC= c. a,b,c son reales no nulos,
Indicar el valor de det [ B5 . At .(5/9.C).C-1]
Enunciar las propiedades usadas.
Muchas gracias.
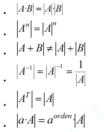
usando las propiedades de los determinantes:
tenemos:
det [ B5]=(det [B])5
det [At]=det [A]
det [5/9.C]=(5/9)3 det [C]
det [C-1]=1/det [C]
y
det[A·B]=det[A] · det[B]
por lo tanto:
det [ B5 . At .(5/9.C).C-1]=det [B5]·det [At]·det [(5/9.C]·det [C-1]=
=(det [B])5 · det [A] · (5/9)3 det [C] · 1/det [C] =
=b5·a·(5/9)3 c·1/c = (5/9)3 ab5