
¡Hola! Nos encantaría ayudarte, pero no solemos responder dudas universitarias que no tengan que ver específicamente con los vídeos que David ha grabado como excepción. O de otras asignaturas que no sean Matemáticas, Física y Química. Lo sentimos de corazón… Esperamos que lo entiendas.
Ojalá algún unicoo universitario se anime a ayudarte (de hecho, lo ideal es que todos los universitarios intentarais ayudaros los unos a los otros).

Comienza con la gráfica del recinto de integración R, y verás que está limitado por la gráfica de la curva de ecuación y = x "por la izquierda"
y por la gráfica de ecuación y = x3 "por la derecha", que puedes expresar y1/3 = x, y verás que las curvas se cortan en los puntos (0,0) y (1,1), por lo tanto puedes plantear:
I = ∫∫R 12*x2*ey^2*dx*dy = 12*∫∫R x2*ey^2*dx*dy, con y < x < y1/3, 0 < y < 1.
Luego integras para la variable x y queda (indicamos con corchetes que debes evaluar con la Regla de Barrow):
I = 12*∫ ey^2*[ x3/3 ]*dy = evalúas = 12*∫ ey^2*(y/3 - y3/3)*dy.
Luego distribuyes el argumento de la integral, separas en términos, extraes factores constantes y queda:
I = 4*∫ ey^2*y*dy - 4*∫ ey^2*y3*dy = 4*∫ ey^2*y*dy - 4*∫ ey^2*y2*y*dy.
Luego, aplicas la sustitución (cambio de variable):
w = y2, de donde tienes: dw = 2*y*dy, de donde puedes despejar: (1/2)*dw = y*dy,
luego sustituyes, extraes factores constantes y queda:
I = 2*∫ ew*dw - 2*∫ ew*w*dw (1).
Luego, observa que la primera integral se resuelve en forma directa y que la segunda se resuelve con el método de integración por partes,
haces los cálculos y queda:
I = [ 2*ew - 2*(ew*w - ew) ] = [ 2*ew*(2 - w) ] = sustituyes = [ 2*ey^2*(2 - y2) ] = evalúas = 2*e*1 - 2*1*2 = 2*e - 4 = 2*(e - 2).
Espero haberte ayudado.

Vamos con la integración por partes, correspondiente al segundo término de la expresión señalada (1).
∫ ew*w*dw = ∫ w*ew*dw = (a)
aquí plantea:
u = w, en donde diferencias y tienes: du = dw,
dv = ew*dw, en donde integras y tienes v = ew;
luego aplicas la expresión del método de integración por partes (recuerda: ∫ u*dv = u*v - ∫ v*du) y queda a continuación de la llamada señalada (a):
= w*ew - ∫ ew*dw = integras = ew*w - ew + C.
Y solo queda que retomes el desarrollo anterior (recuerda que la constante arbitraria se omite en cálculos de integrales definidas).
Espero haberte ayudado.
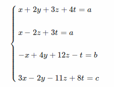
Encontrad qué condiciones tienen que cumplir los parámetros a,b,c∈ℛ a fin de que los sistemas sean compatibles y, en este caso, encontrad la solución general.
Considera los siguientes conjuntos:
A={z∈ℕ: z²≤20∧∃x∈ℤ(z=2x)}
B={z∈ℤ: |z|<6∧∃x∈ℤ(|z|=x²)}
C={0,{0,4},{-1,1},4}
Di razonadamente si son ciertas o falsas la siguientes afirmación:
∃y ∈ B∃z ∈ C∀x ∈ A(z≤x≤y).
Hola una pregunta, Que tengo que hacer aca?
Ya se que la solucion es
x=0 , y=0 , z=0 , w=0.
Pero no entiendo lo de expresarlo parametricamente.
Yo se lo de rectas parametricas, de este estilo L = t(1,2,3) + s(4,3,2) + (4,2,1)
Pero aca no se ocurre, si me ayudan se los agrradeceria. MUCHAS GRACIAS

Tienes un sistema de cuatro ecuaciones con cuatro incógnitas que es homogéneo, por lo que tienes que una de sus soluciones es la que indicas, pero puede tener más, ya que puede ser compatible determinado o compatible indeterminado.
Observa que puedes despejar en la tercera ecuación:
y = z (1),
luego sustituyes la expresión señalada (1) en las otras tres, reduces términos semejantes y el sistema queda:
x + 2z + w = 0, de donde puedes despejar: w = - x - 2z (2)
3x + z + 3w = 0
2x - z + 2w = 0,
luego sustituyes la expresión señalada (2) en las otras dos ecuaciones, reduces términos semejantes y el sistema queda:
- 5z = 0, de donde puedes despejar: z = 0 (3)
- 3z = 0. de donde puedes despejar: z = 0, que repite el valor señalado (3),
luego reemplazas el valor señalado (3) en las ecuaciones señaladas (1) (2) y queda:
y = 0,
w = - x.
Luego, observa que el sistema del enunciado tiene infinitas soluciones, por lo que es compatible indeterminado,
y sus soluciones quedan expresadas con las ecuaciones paramétricas:
x ∈ R
y = 0
z = 0
w = - x,
y el conjunto solución queda expresado: S = { <x,0,0,-x>, con x ∈ R }.
Espero haberte ayudado.