Me podrían ayudar a responder esta pregunta, tengo angunas dificultades para comprender cual es el complemento de un conjunto númerico.
El complemento de los irracionales son los reales, el complemento de los racionales son los reales, el complemento de los reales es conjunto vacío. Cuál es el complemento de los naturales y de los enteros?
Muchas gracias
Supondré como conjunto universal U=ℛ (ya que no especificas)
El complemento de los irracionales son los racionales
El complemento de los racionales son los irracionales
El complemento de los reales es el conjunto vacío
¿Cuál es el complemento de los naturales y de los enteros?
El complemento de los naturales es el conjunto compuesto por los irracionales, fraccionarios, los enteros negativos y el cero
El complemento de los enteros es el conjunto compuesto por los irracionales y fraccionarios
Hola, me pueden explicarl el ultimo paso ? no entiendo por que 2/3 elevado a infinito queda en 0 , siendo que es un numero mayor que 0 debiese quedar en infinito cierto? me pasa lo mismo con el 1/3 elevado a infinito , por que quedan en 0? gracias![]()

Plantea el límite que quieres analizar en tu último paso:
L = Lim(x→+∞) (2/3)x, compones con la función logaritmo natural (observa que es continua) y queda:
ln(L) = ln( Lim(x→+∞) (2/3)x ), aplicas la propiedad del límite de una composición entre funciones continuas y queda:
ln(L) = Lim(x→+∞) ln( (2/3)x ), aplicas la propiedad del logaritmo de una potencia y queda:
ln(L) = Lim(x→+∞) x*ln(2/3), resuelves (observa que ln(2/3) ≅ - 0,4055 < 0) y queda:
ln(L) = - ∞, que corresponde a: L = 0.
Espero haberte ayudado.

Hola Karla, en ambos casos (2/3 y 1/3), el límite en el infinito resulta 0, pues ambos cocientes son menores que la unidad. Si te fijas, al elevar numerador y denominador a un número muy grande, es el denominador el que predomina, es decir, el que marca la tendencia de la función. Esto se llama comparación de infinitos.
En general, si se considera el límite en + ∞ (rama infinita) de k x ,quedando, k+∞, con k ∈ ℛ :
Si k > 1, entonces el límite es + ∞
Si k < 1, entonces el límite es 0
Un saludo.
Perdòn, es 1/ 2 x2 - h

Tienes la ecuación:
( (1/2)*x2 - h )/(2 - x) = 4, observa que x debe ser distinto de 2, luego haces pasaje de divisor como factor y queda:
(1/2)*x2 - h = 4*(2 - x), distribuyes en el segundo miembro y queda:
(1/2)*x2 - h = 8 - 4x, haces pasajes de términos y queda:
(1/2)*x2 - h - 8 + 4x = 0, multiplicas por 2 en todos los términos de la ecuación, ordenas términos y queda:
x2 + 4x - h - 8 = 0, extraes factor común entre los términos independientes y queda:
x2 + 4x - (h + 8) = 0, que es una ecuación cuadrática mónica (su coeficiente principal es igual a 1),
luego, recuerda la relación entre coeficientes y raíces para una ecuación de esta clase: x2 + p*x + q = 0,
cuyas raíces son x1 y x2, y cumplen las relaciones:
x1 + x2 = - p (1),
x1*x2 = q (2).
Luego, observa que en la ecuación remarcada tienes: p = 4, y q = - (h + 8).
a)
Plantea: x2 = 3*x1, luego sustituyes en las ecuaciones señaladas (1) (2) y queda el sistema:
x1 + 3x1 = - 4, reduces términos semejantes y queda: 4*x1 = - 4, haces pasaje de factor como divisor y queda: x1 = - 1, y luego tienes: x2 = 3*(- 1) = - 3,
3*x12 = - (h - 8), reemplazas y queda: 3*(-1)2 = - (h + 8), resuelves, haces pasajes de términos y queda: h + 8 = - 3, de donde despejas: h = - 11.
b)
Plantea el el sistema con las ecuaciones señalada (1) (2) y la condición indicada, y recuerda que p = 4 y q = - (h +8) como en el inciso anterior:
x2 - x1 = 3
x1 + x2 = - 4
x1*x2 = - (h + 8),
y queda para que los resuelvas.
c)
Aquí plantea que el discriminante (revisa tus apuntes de clase) es menor que cero:
D = p2 - 4*q < 0, sustituyes y queda:
42 - 4*( - (h + 8) ) < 0, distribuyes, resuelves términos y queda:
16 + 4*h + 32 < 0, reduces términos semejantes y queda:
4*h + 48 < 0, divides en todos los términos de la inecuación por 4 y queda:
h + 12 < 0, haces pasaje de término y queda: h < - 12.
d)
Plantea el sistema formado por las ecuaciones señaladas (1) (2) y la condición indicada:
x1*x2 = - 4
x1 + x2 = - 4
x1*x2 = - (h + 8),
y queda para que los resuelvas.
e)
Aquí plantea que el discriminante (revisa tus apuntes de clase) es igual a cero:
D = p2 - 4*q = 0, sustituyes y queda:
42 - 4*( - (h + 8) ) = 0, distribuyes, resuelves términos y queda:
16 + 4*h + 32 = 0, reduces términos semejantes y queda:
4*h + 48 = 0, divides en todos los términos de la inecuación por 4 y queda:
h + 12 = 0, haces pasaje de término y queda: h = - 12.
f)
Aquí plantea que el discriminante (revisa tus apuntes de clase) es mayor que cero:
D = p2 - 4*q > 0, sustituyes y queda:
42 - 4*( - (h + 8) ) > 0, distribuyes, resuelves términos y queda:
16 + 4*h + 32 > 0, reduces términos semejantes y queda:
4*h + 48 > 0, divides en todos los términos de la inecuación por 4 y queda:
h + 12 > 0, haces pasaje de término y queda: h > - 12.
g)
Plantea el sistema formado por las ecuaciones señaladas (1) (2) y la condición indicada:
x2 = 4
x1 + x2 = - 4
x1*x2 = - (h + 8),
y queda para que los resuelvas.
h)
Plantea el sistema formado por las ecuaciones señaladas (1) (2) y la condición indicada:
x2 = 0
x1 + x2 = - 4
x1*x2 = - (h + 8),
y queda para que los resuelvas.
Espero haberte ayudado.
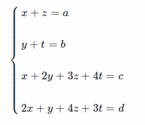
Consideremos el sistema de ecuaciones lineales
Determinad qué condiciones tienen que cumplir los parámetros a, b, c, d a fin de que el sistema sea incompatible.