
¡Hola! Nos encantaría ayudarte, pero no solemos responder dudas universitarias que no tengan que ver específicamente con los vídeos que David ha grabado como excepción. O de otras asignaturas que no sean Matemáticas, Física y Química. Lo sentimos de corazón… Esperamos que lo entiendas.
Ojalá algún unicoo universitario se anime a ayudarte (de hecho, lo ideal es que todos los universitarios intentarais ayudaros los unos a los otros).
Hola.. Pueden ayudarme con este problema- Integral valor medio
*El tiempo está en minutos pero ¿cuales son sus extremos [a,b] de la integral o falta datos?
Hola. Pueden ayudarme con este problema de integrales. Tema: VALOR MEDIO PARA INTEGRALES.
Sé cual es la fórmula pero ¿cómo aplicarla en una función a trozos?

Supongo que el valor medio de f(x) es el promedio, que se puede expresar como 1/(b-a) ∫f(x)dx
Ahora, nota que para cada intervalo que te marcan, ponen funciones continuas y las funciones continuas son integrables, ademas, si una funcion es integrable en (a,b) y integrable en (b,c) entonces es integrable en (a,c) luego f(x) al ser integrable en los intervalos que te ponen, sera integrable del -2 al 3
la integral de f(x) de 0 a 3 la ponemos expresar como
∫f(x)=∫x+2 dx + ∫2-x² dx + ∫4/x² -3 dx
la integral ∫x+2 dx va del -2 al 0
la integral ∫2-x² dx va del 0 al 2
la integral ∫4/x² -3 dx va del 2 al 3
El resultado de esa expresion habra que multiplicarlo por 1/(b-a) segun la formula del promedio, con b=3 y a=-2, es decir, habra que multiplicar por 1/5
Intentalo y si tienes mas dudas, nos cuentas

Es una parabola porque solo un termino esta elevado al cuadrado, ahora bien, como tiene y² esta abrirá a la derecha o la izquierda, recordemos la expresion
(y-k)²=4p(x-h)
Donde (h,k) es el vertice de la parabola y p es la distancia que se mide horizontalmente del foco al vertice
Habra que llevar tu expresion a algo como lo anterior
4y²-20y=71+48x
dividamos entre 4
y²-5y=(71+48x)/5
Ahora, habra que expresar a y²-5y como parte de un binomio al cuadrado, por otro lado, sabemos que (m-n)²=m²-2mn+n², ve que podriamos decir que y=m, y -5y=-2mn, por lo tanto busquemos una n que cumpla eso
Como y=m,
-5y=-2yn
n=5/2
Es decir el binomio (y-5/2)² nos servira, pues (y-5/2)² =y²-5y+25/4
entonces y²-5y= (y-5/2)²-25/4 y sustituyendo en y²-5y=(71+48x)/5
(y-5/2)²-25/4 =71/5 +48x/5
(y-5/2)²=71/5 +25/4+48x/5=409/20+48x/5
Ahora factoricemos el 48/5 para dejar a la x con coeficiente 1, digamos que la factorizacion nos queda 48/5(x+a)
409/20+48x/5=48/5(x+a)=48x/5+48a/5
entonces 48a/5=409/20, se sigue que a=409/192
entonces nos queda
(y-5/2)²=48/5(x+409/192)
Con el modelo (y-k)²=4p(x-h) vemos que el vertice es (-409/192,5/2) y 4p=48/5, luego p=48/20=24/10=12/5 y al ser p postivo, la parabola abre hacia la derecha, luego si queremos saber el foco simplemente sumamos el valor de p a la primer coordenada del vertice, es decir el foco tiene coordenadas (-409/192+12/5,5/2)
Espero no haberme equivocado, si tienes mas dudas, nos cuentas
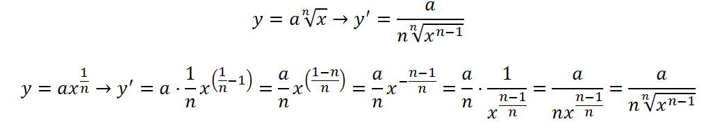
Me explican como reducir la exprecion de la derivada usando la formula U^n sea igual que usando la derivada de raiz grado n.
intente ponerlo en symbolab para que me redusca la exprecion pero no lo hace.
Pd: mi libro maneja el resultado derivando usando la formula de raiz de grado n
si me explicaran como simplificar el resultado U^n para que quede como el resultado de arriba.
Hola unicoos... Me ayudan por favor con este ejercicio? En la parte del seno tengo dudas..Me aclaran bien como se analoza esa funcion gracias

hola nando... yo lo resolvi asi.
la parte arriba (1+4(1/x-1)) siempre va a ser positiva asiqe con eso no habria problema.
de la parte de abajo, al calcular el domio lo fui separando.
al tener dos terminos (la x y el sin de lo que esta en el parentesis) sienpre unoz de los dos va a ser igual a cero. en este cado es la x.
si el sin(1/x-2) lo igualas a cero va a dar sin solucion (1=0), ya qe pasas primero el seno y luego el x-2.
y por ultimo calculas x-2=0.
de esos calculos sacas el dominio y por ende los posibles puntos de discontinuidad.

de cualquier manera el numerador, al menos que tengas una raiz par, siempre va a dar positivo.
la parte de arriba para calcular el dominio lo tenes que tener en cuenta si tiene, por ejemplo, una raiz cuadra o un valor absoluto. si no, el dominio siempre se calcula segun el denominador