
Observa que el dominio de la función es: D = (-∞,-2) u (-2,1] u (1,+∞) = R - {-2}.
Luego, tienes que cada trozo es continuo en su subdominio correspondiente.
Luego, tienes dos puntos notables para estudiar:
1)
x = - 2, que no pertenece al dominio (observa que no está comprendido en el primer trozo ni en el segundo),
por lo que tienes que la función no es continua en este punto;
luego, plantea los límites laterales:
Lím(x→-2-) f(x) = Lím(x→-2-) 3ex+2 = 3e0 = 3*1 = 3 = 31;
Lím(x→-2+) f(x) = Lím(x→-2+) 3e-x-a = 3e0-a = 3-a,
luego tienes dos opciones:
1a)
si 1 = -a, de donde despejas a = -1, tienes que la función es discontinua evitable en x = -2,
ya que los límites laterales son ambos iguales a 3, y por lo tanto existe el límite de la función;
1b)
si 1 ≠ -a, de donde despejas a ≠ -1, tienes que la función es discontinua inevitable (o esencial) en x = -2,
ya que los límites laterales son distintos, y por lo tanto no existe el límite de la función,
que en este caso presenta discontinuidad tipo salto.
2)
x = 1, que es punto de corte entre la segunda rama y la tercera rama,
para el que el valor de la función es:
f(1) = 3e-1-a (observa que está definido para todo valor de a);
luego plantea los límites laterales
Lím(x→ 1-) f(x) = Lím(x→ 1-) 3e-x-a = 3e-1-a,
Lím(x→ 1+) f(x) = Lím(x→ 1+) 3/(x-1) = + ∞ (observa que el denominador tiende a cero con valores positivos),
luego tienes que la función es discontnua inevitable en x = 1,
ya que presenta una asíntota vertical superior derecha en dicho punto.,
independientemente del valor de a.
Espero haberte ayudado.
Hola. Quería preguntarles lo siguiente:
Tengo Lim x→infinito : Sen(x-1)^2 / (x-1)
Es infinito por acotado. Da infinito o 0? Por que? Saludos.

Buenas tardes, Verónica.
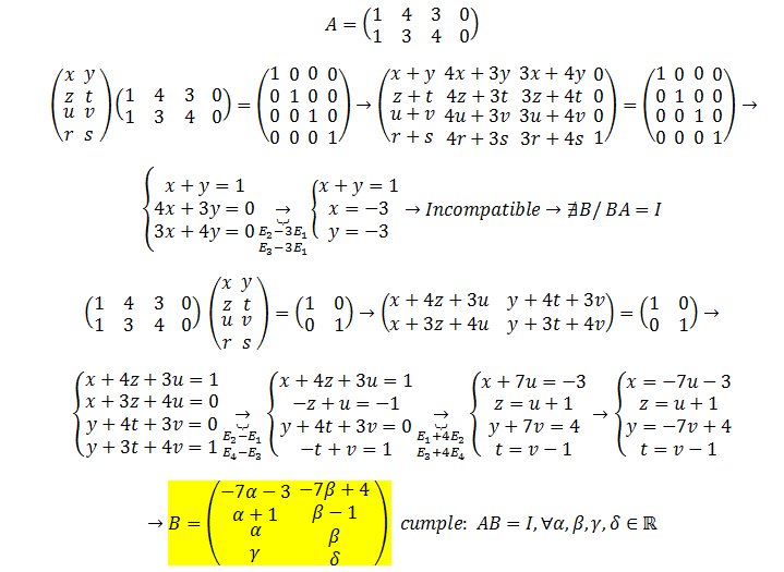
Dada una matriz A∈Mmxn(ℛ) se dice que B∈Mnxm(ℛ) es una inversa por la izquierda de A si BA=In. Por otra parte, se dice que C∈Mnxm(ℛ) es una inversa por la derecha de A si AC=Im. Compruebe que la matriz
tiene muchas inversas por la derecha y ninguna por la izquierda.