Hola, buenas tardes. Alguien podría ayudarme a encontrar el área integrando estas dos funciones?
Gracias de antemano, saludos !!

1)
Observa que la función toma valores positivos, de acuerdo con el gráfico, en el intervalo [-1,1]. Luego, su ecuación explícita (despejas a partir de la ecuación del enunciado) queda:
y = +√(1-x2).
Luego, plantea el área comprendida entre la gráfica de la función (recuerda que es positiva) y el eje coordenado OX, cuya ecuación cartesiana es y = 0:
A = ∫ (√(1-x2) - 0) dx, para evaluar entre - 1 y 1.
Luego, te dejo la tarea de concluir el ejercicio, y observa que puedes plantear la sustitución trigonométrica:
x = senw.
2)
Observa que la función toma valores negativos en el intervalo D1 = [-π/2,0),
y que toma valores positivos en el intervalo D2 = (0,π/2].
Por lo tanto, plantea el área delimitada por la gráfica de la función y el eje coordenado OX para cada sector por separado, y luego suma los resultados, por lo que tienes:
A = A1 + A2 (1).
Luego, pasamos al planteo:
A1 = ∫ (0 - senx) dx = ∫ (- senx) dx = [ cosx ] = evaluas = cos(0) - cos(π/2) = 1 - 0 = 1;
A2 = ∫ (senx - 0) dx = ∫ (senx) dx = [ - cosx ] = evaluas = - cos(π/2) - ( - cos(0) ) = - 0 - (- 1) = 1.
Luego reemplazas en la ecuación señalada (1) y queda:
A = 1 + 1 = 2.
Espero haberte ayudado.
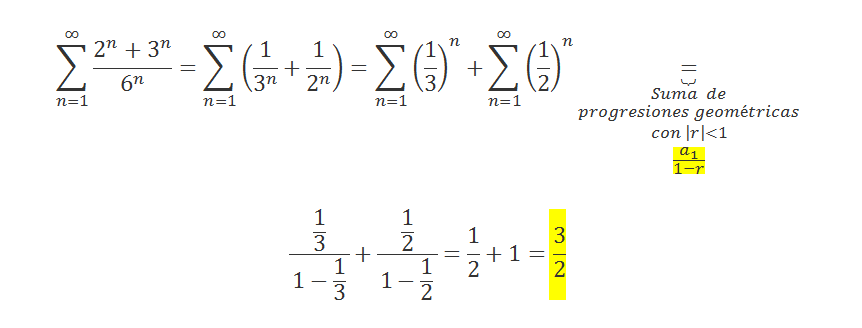
n=1 => 102-9·1-10 = 81 múltiplo de 81
n=2 => 103-9·2-10 = 972=81·12 múltiplo de 81
n=3 => 104-9·3-10 = 9963=81·123 múltiplo de 81
n => 10n+1-9·n-10 =81·m múltiplo de 81
n+1 => 10n+2-9·(n+1)-10 = 10·10n+1-9·n-9-10 = 10·10n+1-9·n-19 =
=10·10n+1-9·n-19 -81n +81n-81+81 =
=10·10n+1-90·n-100 +81n+81 = 10·(10n+1-9·n-10) +81n+81=
=10·(10n+1-9·n-10) +81(n+1) = 10·81m+81(n+1)=
= 81(10m+n+1) múltiplo de 81 c.q.v.
Hola Unicoos,
Nose como hacerlo porque a m le puedo dar el valor que yo quiera y no veo ninguna combinación entre filas y columnas, pero tampoco sabría justificar que el rango es 3, me podrian ayudar paso a paso, muchisimas gracias.
Haz el determinante, te saldrá un polinomio de segundo grado, iguálalo a cero, tendrás ahora una ecuación de segundo grado, resuelve dicha ecuación, obtendrás dos valores (1 y 1/2)
Estos valores son los valores de m para que el determinante se anule
por lo tanto para cualquier valor de m distinto a 1 y a 1/2 el rango es 3 pues su determinante es no nulo
para esos valores lo tendrás que estudiar por separado pero te adelanto que el rango es 2 en ambos casos
Una vuelta de circunferencia son 360º y no se puede exceder de eso, por los que los 3390 hay que dividirlo entre 360º, que queda 11 con algo, y ese pico se multiplica por los 360º y queda 30º. El resto de casos se hace igual.
Para 9PI lo pasas a grados con una simple regla de tres: PI --> 180º
9PI --> xº y despejas directamente.
Te queda 1620, que tienes que hacer el primer paso, hay que dividirlo entre 360º, que queda 4,5 , y ese 0.5 se multiplica por los 360º y queda 180º. Luego haces el seno, coseno y tangente de ese angulo (180º) y lo que te de.
En este caso, conviene aprenderse
Sen (0º)= 0
Cos (0º)= 1
Sen (90º)= 1
Cos (90º)= 0
Sen (180º)= 0
Cos (180º)= -1
Sen (270º)= -1
Cos (270º)= 0
Y para el 360º vuelve a ser 0, pero si te dejan calculadora, puedes hacerlo con ella y no aprenderte esto.