hola, necesito ayuda para resolver este ejercicio.
la verdad es que me entro la duda de como se hace porque en la carpeta lo tengo de una forma pero cuando me puse a repasar lo empece a resolver como en la segunda foto; y ademas al no tener ni mayor ni menor no tengo ni idea de cual de las dos es correcta.
f(1)=6 y no 0
al calcular el límite de f cuando tiende a -1 por la izquierda no hay que cambiar el signo dando el mismo -2 con lo que tb f presenta discontinuidad evitable en x=-1 (ayer cometí un fallo) quedando:
Dominio ℛ-{-1} pues anula el denominador
Es continua en ℛ-{-1,1}, en x=-1 hay una discontinuidad evitable y en x=1 otra discontinuidad evitable
La siguiente afirmación es cierta o falsa? Justifica la respuesta.
[5,7] ⊄ (4,∞).
Partiendo que A ⊂ B significa que siendo A≠B cada elemento de A es también elemento de B
y como todos los números del intervalo [5,7] están incluidos en el intervalo (4,∞), podemos deducir que [5,7] ⊂ (4,∞), por lo tanto, podemos concluir que la afirmación dada en el enunciado es falsa.

¡Hola! La regresión logarítmica se sale de nuestro ámbito.Nos encantaría ayudarte, pero no solemos responder dudas universitarias que no tengan que ver específicamente con los vídeos que David ha grabado como excepción. O de otras asignaturas que no sean Matemáticas, Física y Química. Lo sentimos de corazón… Esperamos que lo entiendas.
Ojalá algún unicoo universitario se anime a ayudarte (de hecho, lo ideal es que todos los universitarios intentarais ayudaros los unos a los otros).
Hola Unicoos, ayuda con el apartado B)
No se si el desarrollo es correcto, en ese caso, cómo podría comprobar que se verifica con la inversa?
Muchisimas gracias.

Lo has hecho muy bien, para calcular la inversa tienes que hacer, como bien has hecho, la adjunta de la traspuesta y luego multiplicar esa matriz por 1/|A|, en este caso |A|=5, luego multipliquemos la adj(At) por 1/5, quedara
| 2/5 | 4/5 | 1/5 |
| -1/5 | 3/5 | 2/5 |
| 2/5 | -1/5 | 1/5 |
Por otro lado, hay que corregir A², recordemos que tenemos que multiplicar filas por columnas, para ello te recomiendo este video
Una vez que la tengas, sigue como lo has hecho y veras que el enunciado B es verdadero, si no sale,nos cuentas
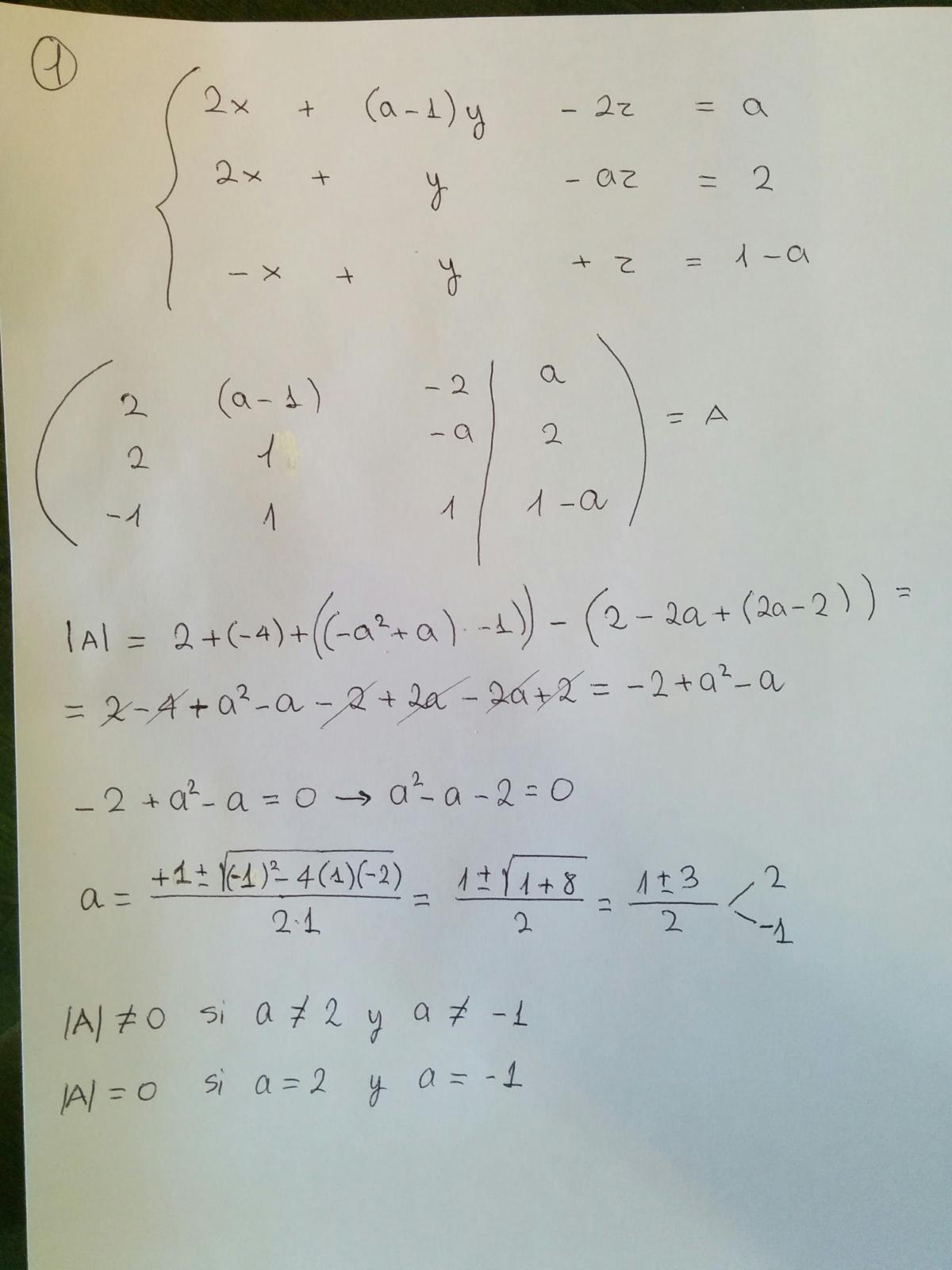
Hola Unicoos, he sacado el determinante, pero y qué pasa con esos valores que hacen que el determinante sea 0? y como puedo averiguar el rango, porque tengo parámetros a, y no se si algunas filas son linealmente dependientes, tendria que hacer ceros con Gauss? y como los hago si tengo parámetros?,
Me podrian echar una mano paso a paso, Muchisimas gracias.

Practicamente ya estas a unos pasos de acabar ,y en efecto, para calcular el rango de A puedes escalonar la matriz.
Si |A|≠0, entonces al ser A una matriz de 3x3, el conjunto de vectores formado por las filas sera linealmente idependiente y por defincion eso es el rango, entonces R(A)=3, al ser el rango a A igual a 3, el rango de la ampliada sera tambien de 3, y coincide con el numero de incognitas en el sistema, luego, el sistema tendra solucion unica si a es distinta de 2 o -1
Ahora digamos que a=2, se forma la matriz
| 2 | 1 | -2 | 2 |
| 2 | 1 | -2 | 2 |
| -1 | 1 | 1 | -1 |
Observa que la fila 1 y 2 estan repetidas, luego si hacemos f2=f2-f1, se obtiene
| 2 | 1 | -2 | 2 |
| 0 | 0 | 0 | 0 |
| -1 | 1 | 1 | -1 |
Hagamos el cambio de la fila 2 a la fila 3 y hagamos f1=f1+2f2
| 0 | 3 | 0 | 0 |
| -1 | 1 | 1 | -1 |
| 0 | 0 | 0 | 0 |
Hagamos el cambio f1 a f2
| -1 | 1 | 1 | -1 |
| 0 | 3 | 0 | 0 |
| 0 | 0 | 0 | 0 |
Aqui vemos que la matriz A y tambien la extendida contienen al vector 0, (es la fila 3) y sabemos que todo conjunto que contiene al vector 0 es linealmente dependiente, como el rango es el numero de vectores linealmente idependientes el rango no sera 3, sino 2, pues hay 2 vectores no nulos en estas matrices
Aqui el rango de A y de su extendida es 2, menor al numero de incognitas que es 3, luego el sistema tiene una infinidad de soluciones
Falta analizar para a=-1, veamos que se forma la matriz
| 2 | -2 | -2 | -1 |
| 2 | 1 | 1 | 2 |
| -1 | 1 | 1 | 2 |
Hagamos f1=f1+2f3 y f2=f2+2f3
| 0 | 0 | 0 | 3 |
| 0 | 3 | 3 | 6 |
| -1 | 1 | 1 | 2 |
Cambiemos f1 por f3
| -1 | 1 | 1 | 2 |
| 0 | 3 | 3 | 6 |
| 0 | 0 | 0 | 3 |
Vemos que la matriz A contiene al vector 0, (la matriz A es la que se forma con las tres primeras filas y tres primeras columnas),por lo tanto el conjunto de esos tres vectores es l. dependiente, luego el rango de A es 2, pues hay 2 vectores no nulos
Por otro lado, el rango de la ampliada es de 3, pues al haber escalado la matriz y tener 3 vectores no nulos, su rango es 3
El rango de la extendida y de A es distinto, luego, no tiene solucion
Si tienes mas dudas, nos cuentas.
Hola, tengo una duda con respecto a ejercicios de programación lineal (optimización): sea si me piden el máximo o el mínimo, ¿ es correcto tomar una cantidad negativa? Por ejemplo si me piden minimizar y entre las opciones están -23, 24 y 40, ¿qué cantidad escogo? ¿La que tiene el signo menos o el menor en cantidad, o sea 24?
Calcular b y c para que la función f(x)= x^5 + bx +c cumpla f(-1)=2 y tenga un punto crítico en xo=0.
¿Puede dar que b=0 y c=3?
¡Muchas gracias!