Es la opción a
Hay 8 figuras sombreadas, si supiéramos el área de una de ellas ya tendríamos el área de toda la zona sombreada con solo multiplicar por 8 ese área.
Para ello divide el cuadrado en cuatro cuadrados iguales, traza los dos semicírculos que te faltarían para hacer una figura simétrica; Calcula el área de uno de estos semicírculos, multiplica por 4 obteniendo el área de todo y dos veces lo sombreado, réstale el marea del cuadrado con lo que tendrías el área de lo sombreado únicamente, y ahora divide por cuatro para obtener el área de la luna blanca. Solo faltaría restar al área del semicírculo el área de la luna obteniendo el área que estábamos buscando.
¡¡Qué lio!!! Espero haberte ayudado; si no es el caso, olvida lo dicho aquí, que seguro que otro compañero te lo explica mejor.
Hola, tengo una consulta que es más bien administrativa. Soy de España, el año que viene paso a 4ºESO y cuando entre a bachillerato quiero hacer un bachillerato de sociales (letras) ¿Alguien sabe si todavía existe eso de la opción A y B (conocidas como matemáticas fáciles y matemáticas difíciles) de matemáticas en 4ºESO?
Si alguien que haya hecho 4ºESO este año o alguien sabe del tema me pudiera responder la duda lo agradecería.
Gracias.
No Alejandro
En teoría ya no existe en 4º eso las opciones A y B (conocidas como matemáticas fáciles y matemáticas difíciles) de matemáticas en 4ºESO desde el último año.
En el curso que se acabó estos días y en los próximos se llaman matemáticas aplicadas y matemáticas académicas (y siguen siendo conocidas como matemáticas fáciles y matemáticas difíciles respectivamente)
Las primeras están diseñadas para el alumnado que quiere hacer un ciclo formativo y las segundas para aquel que quiere hacer bachillerato.
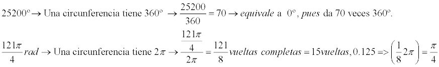
3. Halla los ángulos reducidos y las razones trigonométricas de estos ángulos, reduciéndolas al primer cuadrante: (2 ptos)
Las razones trigonométricas entiendo que las puedo calcular con la calculadora, sin, cos y tang lo que no entiendo es como reducir los ángulos. Por ejemplo
Buenos dias, tengo que demostrar la siguiente integral para n ∈ ℕ y m ∈ ℤ. No lo he podido lograr pido ayuda por favor.
¡Hola! Nos encantaría ayudarte, pero no solemos responder dudas universitarias que no tengan que ver específicamente con los vídeos que David ha grabado como excepción. O de otras asignaturas que no sean Matemáticas, Física y Química. Lo sentimos de corazón… Esperamos que lo entiendas.
Ojalá algún unicoo universitario se anime a ayudarte (de hecho, lo ideal es que todos los universitarios intentarais ayudaros los unos a los otros).
Buenos dias, me podrian ayudar a resolver este ejercicio, ya lo intente varias veces pero al querer hallar "b" ( uno de los vertices del eje conjugado de la hiperbola me sale cero), no se si lo habre hecho mal y por eso no llego a un resultado, gracias.

¡Hola! Nos encantaría ayudarte, pero no solemos responder dudas universitarias que no tengan que ver específicamente con los vídeos que David ha grabado como excepción. O de otras asignaturas que no sean Matemáticas, Física y Química. Lo sentimos de corazón… Esperamos que lo entiendas.
Ojalá algún unicoo universitario se anime a ayudarte (de hecho, lo ideal es que todos los universitarios intentarais ayudaros los unos a los otros).