hola buenas tardes, alguien sabe donde puedo conseguir el libro de Cálculo infinitesimal de una variable - Juan de Burgos Román en pdf?
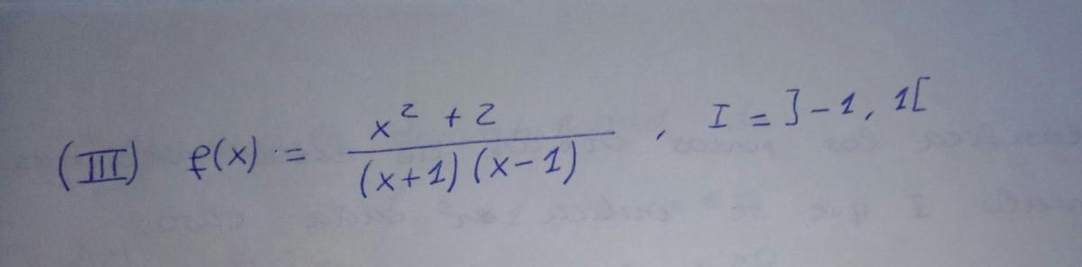
Me pide que calcule y clasifique los puntos criticos de esta función dentro del intervalo I. Mi pregunta es, ¿ese intervalo es el que tengo que utilizar para hallar los extremos absolutos, además de si los valores del denominador
no están en el dominio no incluirlos en la tabla de monotonía? Muchas gracias.

Debes corregir.
Tienes la expresión de la función observa que operamos en ella a fin de facilitar la derivación):
f(x) = (x2+2) / (x+1)(x-1) = (x2+2) / (x2-1) = (x2-1 + 3) / (x2-1) =
=( (x2-1) + 3 ) / (x2-1) = (x2-1)/(x2-1) + 3/(x2-1) = 1 + 3/(x2-1).
Observa que la función es continua en el intervalo abierto D = ] -1 , 1 [.
Luego, plantea la expresión de la función derivada (te dejo la tarea) y queda:
f ' (x) = -6x / (x2-1)2.
Observa que la función derivada está definida y es continua en todo el intervalo.
Luego, plantea la condición de punto crítico (posible máximo o posible mínimo).
f ' (x) = 0, sustituyes y queda:
-6x / (x2-1)2 = 0,
haces pasaje de divisor como factor (observa que es estrictamente negativo en el intervalo D) y queda:
- 6x = 0, haces pasaje de factor como divisor y queda:
x = 0, que pertenece al intervalo D.
Luego, evalúa para un valor menor y para otro mayor que el punto crítico, y también en este valor y tienes:
f(-0,5) = 1 + 3/( (-0,5)2 - 1) = 1 + 3/(0,25 - 1) = 1 + 3/(- 0,75) = 1 - 4 = - 3,
f(0) = 1 + 3/(02 - 1) = 1 + 3/(-1) = 1 - 3 = - 2,
f(0,5) = 1 + 3/( 0,52 - 1) = 1 + 3/(0,25 - 1) = 1 + 3/(- 0,75) = 1 - 4 = - 3.
Luego, por el criterio de la derivada primera, tienes que la función:
es creciente en el intervalo ] -1 , 0 [,
presenta un máximo en x = 0, para el que la función toma el valor: f(0) = - 2,
es decreciente en el intervalo ] 0 , 1 [.
Luego, puedes concluir que la función alcanza un máximo absoluto en x = 0,
y puedes corroborarlo tomando los límites laterales en los extremos del intervalo D:
Lím(x→ -1+) f(x) = Lím(x→ -1+) ( 1 + 3/(x2-1) ) = - ∞,
Lím(x→ 1-) f(x) = Lím(x→ 1-) ( 1 + 3/(x2-1) ) = - ∞.
Puedes recurrir a un graficador y verás claramente la situación que hemos descrito.
Recuerda el enunciado del teorema:
"Si I es un intervalo cerrado y f es una función continua en D,
entonces f alcanza extremos absolutos en I".
Y observa que en este caso tratamos con una función continua en un intervalo abierto I, por lo cuál el teorema no es aplicable en este caso, en el que la función presenta solamente un máximo absoluto.
En general, para caso como éste corresponde realizar un estudio completo antes de extraer conclusiones.
Espero haberte ayudado.
No se como es este ejercicio
Lo que hice fue usar el teorema de green tomando como P= y + x2 y como Q= sen (y) * In (1+y)).
Luego hago las derivadas y formo la integral de Green tomando como limites de integracion de exterior a interior, tomo de -3 a 3 y luego de 0 a 9-x2.
Eso me da un valor de 36. Es esta la respuesta correcta???. Porque antes en otro ejercicio sin green, tenia que tomar un parametro, reemplazar la funcion en ese parametro y luego derivar ese parametro y multiplicar ambos terminos y eso dentro de una integral.

¡Hola! Nos encantaría ayudarte, pero no solemos responder dudas universitarias que no tengan que ver específicamente con los vídeos que David ha grabado como excepción. O de otras asignaturas que no sean Matemáticas, Física y Química. Lo sentimos de corazón… Esperamos que lo entiendas.
Ojalá algún unicoo universitario se anime a ayudarte (de hecho, lo ideal es que todos los universitarios intentarais ayudaros los unos a los otros).
Entendiendo que la palabra que falta en el enunciado es doble
________________________________
radio de la circunferencia = r
largo del rectángulo = diámetro de la circunferencia = 2r
alto del rectángulo = mitad del radio = r/2
perímetro del rectángulo = 2(2r+r/2) = 30
resolviendo la ecuación
...
r = 12
longitud de la circunferencia = 2πr = 24π