Ya me perdonas, escaseo un poco en pizarra :P
El último paso que doy es simplemente que al dividir las potencias de base 10 ( 103 / 10-10 ), se restan los exponentes, y al restarle a un número positivo un número negativo simplemente es una suma, luego ( 1010+3 ). El resto solo es dividir lo que queda, que da un numero decimal de parte entera de un solo número, luego no hace falta ni cambiarlo, simplemente se queda como está: ( 9'075 x 1013 ).

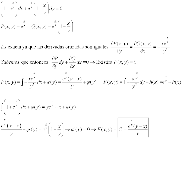
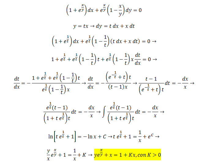
Puedes plantear la sustitución (cambio de variable):
x/y = w, de donde tienes: x = y*w,
luego diferencias y tienes:
dx = dy*w + y*dw,
luego sustituyes y la ecuación diferencial queda:
(1+ ew)*(dy*w + y*dw) + ew*(1 - w)*dy = 0,
luego distribuyes y queda:
w*dy + y*dw + w*ew*dy + y*ew*dw + ew*dy - w*ew*dy = 0,
cancelas términos opuestos y queda:
w*dy + y*dw + y*ew*dw + ew*dy = 0,
haces pasajes de términos extraes factores comunes y queda:
y*(1 + ew)*dw = - (w + ew)*dy,
haces pasajes de factores como divisores y queda:
( (1 + ew)/(w + ew) )*dw = - (1/y)*dy,
y luego puedes continuar la tarea integrando en ambos miembros:
observa que en el primero puedes emplear la sustitución (cambio de variable): p = w + ew, y que el segundo tiene resolución directa.
Haz el intento y, si te resulta necesario, no dudes en volver a consultar.
Espero haberte ayudado.
En lR3 se define A = [ (k;1;k), (k;2;k), (3k;k;-k)]
a) Hallar todos los valores de k para que el conjunto A no sea una base de IR3
b) Si k = 0, hallar el subespacio generado, una base del mismo y su dimensión
Planteo este problema de probabilidad, quisiera que me digan si tiene errores, ha decir verdad creo que tengo dudas en el segundo punto el apartado b.
En un grupo de 120 postulantes que se presentaron para obtener un determinado trabajo, 45 de ellos tenía una experiencia amplia, 35 tenían una capacitación especial y 18 tenían ambas condiciones, de modo que están incluidos tanto en el grupo que posee experiencia como en el que posee capacitación. Con estos datos hallar la probabilidad que un postulante cualquiera elegido aleatoriamente: a) tenga, al menos, experiencia o capacitación. b) tenga sólo experiencia o sólo capacitación. c) tenga capacitación habiéndose comprobado que tiene experiencia.
a) P(E ∪ C) = P(E) + P(C) - P(E ∩ C) = 45/120 + 35/120 - 18/120 = 31/60
b) P(E - C) = P(E) - P(C) = 45/120 - 35/120 = 10/120 = 1/12
c) P(C/E) = P(C ∩ E) / P(E) = (18/120)/(45/120) = 2/5
Muchas gracias de antemano!