Hola buenas tardes , me podrian ayudar con este sistema por favor

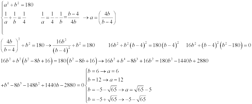
Despejamos "a" de la 2ª ecuación:
1/a + 1/b = 1/4 ---------> 4b+4a= ab -------> 4b=ab-4a ------> 4b=a(b-4) ---------> a=4b/(b-4)
Sustituimos en la 1ª ecuación el valor obtenido de "a":
[4b/(b-4)]2+b2=180
16b2/(b2+16-8b) + b2=180
16b2+b2(b2+16-8b)= 180(b2+16-8b)
16b2+b4+16b2-8b3= 180b2+2880-1440b
b4-8b3-148b2+1440b-2880=0
Tienes que resolver este polinomio con factores binómicos (¡probando con los divisores de 2880!)
y así obtener los valores de b, luego sustituirás en alguna ecuación del sistema para hallar los valores de a en función de los de b

Has mostrado correctamente que la proposición es Verdadera para n = 1.
Has planteado correctamente la Hipótesis Inductiva.
Has planteado correctamente la Tesis Inductiva.
Vamos con la demostración (observa el signo en el ùltimo término):
p(k+1): 1 - 22 + 32 ... + (-1)k+1*k2 + (-1)k+2*(k+1)2 =
aplicas la Hipótesis Inductiva y queda:
= (-1)k+1*k*(k+1)/2 + (-1)k+2*(k+1)2 =
extraes factor común y queda:
= (-1)k+1*(k+1)*( k/2 + (-1)*(k+1) ) =
desarrollas el último factor y queda:
= (-1)k+1*(k+1)*(k/2 - k - 1) =
reduces términos semejantes en el último factor y queda:
= (-1)k+1*(k+1)*(- k/2 - 1) =
extraes factor común -1 en el último factor y queda:
= (-1)k+1*(k+1)*(-1)*(k/2 + 1) =
extraes denominador comùn en el último factor y queda:
= (-1)k+1*(k+1)*(-1)*(k+2)/2 =
ordenas factores y queda:
= (-1)k+1*(-1)*(k+1)*(k+2)/2 =
resuelves el producto de los dos primeros factores y queda:
= (-1)k+2*(k+1)*(k+2)/2.
Espero haberte ayudado.
¿Alguien me ayuda a hallar los ceros de esta función?
x^5-x^3-x^2+1
Según lo que yo saque con tanteo podrían ser 1 y -1, luego hice Ruffini con esos dos valores, y me dio que -1 tiene multiplicidad dos y 1 es es raíz simple. Pero creo que está mal porque según el grado de la funcion (o sea, 5) tendría que tener 5 raíces
Hola! talvez alguien puede ayudarme con la demostración del límite
lim sen(x)/x cuando x→∞
Agradecería mucho su ayuda!

Observa que senx es oscilante y acotada entre -1 y 1, por lo que su valor absoluto està comprendido entre 0 y 1.
Observa que x tiende a infinito.
Luego, puedes plantear:
0 ≤ │senx / x│ = │senx│/│x│ ≤ 1/│x│.
Observa que tienes que el valor absoluto del argumento del lìmite está comprendido entre 0 y 1/│x│;
luego plantea la doble inecuación correspondiente:
0 ≤ │senx / x│ ≤ 1/│x│;
luego puedes tomar el límite para x tendiendo a infinito en los tres miembros y queda:
Lím(x→∞) 0 ≤ Lím(x→∞)│senx / x│≤ Lím(x→∞) 1/│x│,
resuelves el primero y el último miembro, aplicas la propiedad del lìmite de un valor absoluto en el miembro central y queda:
0 ≤ │Lím(x→∞) senx / x│ ≤ 0;
y puedes concluir:
Lím(x→∞) senx / x = 0.
Espero haberte ayudado.
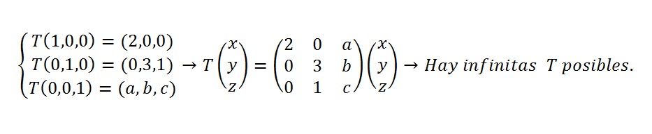
Ayuda con un ejercicio de transformacion lineal:
Hallar la expresion de T(v) para todo vector v ∈ V, siendo:
c)- V = R3, T: R3→R3 es una transformacion lieal tal que T(1,0,0)=(2,0,0) y T(0,1,0)= (0,3,1). ¿ Es única ? Justificar la respuesta.