En la f(x)=2 / x+3 ¿ es su gráfica tangente en algún punto a la recta y=2x+2=0?
¿Me podeis decir el resultado y explicarmelo por favor ?
Me sale que las rectas son coincidentes...

Entiendo que hay un menos
De la recta r tenemos un punto P(0,2,1) y un vector director (2,1,2)
De la recta s obtenemos un punto Q(0,0,-3) y un vector director (2,1,2)
Por lo tanto, y como Q∉r, las rectas son paralelas.
Obtenemos el vector QP(0,2,4)
y por último, como el plano pedido es paralelo a los vectores (2,1,2) y (0,2,4) y contiene al punto (0,2,1) su ecuación es: 2y-z=3
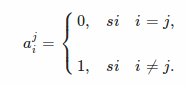
Para cada n∈ℕ definimos una matriz cuadrada de orden n, An=(aji), de la manera siguiente
Escribe explícitamente la matriz para n=1, 2, 3, 4.
0 1 1 1
1 0 1 1
1 1 0 1
1 1 1 0
Creo que es así, si coinciden (diagonal) es 0 y el resto de casos unos (no coinciden).
La matriz A esta formada cada componente por:
11 12 13 14 1n
21 22 23 24 2n
31 32 33 34 3n
41 42 43 44 4n
n1 n2 n3 n4 nn
Para cada coeficiente. Si A es una matriz que tiene
1 2
33 93
A11=1
A12=2
A21=33
A22=93
Buenas tardes, tengo una duda del tema de diagonalizacion de matrices, no se si me podrían ayudar. Hice un examen hace poco y me preguntaba si la matriz que ya calcule que era diagonalizable; si era una matriz ortogonal o ortonormal, la verdad que no me acuerdo como era esa palabra. Me gustaría saber que seignificado tiene cada uno y como debería resolver esta pregunta teórica.
Muchas gracias.