Foro de preguntas y respuestas de Matemáticas

logo beUnicoos
Los foros de unicoos se han unificado en nuestra nueva plataforma beUnicoos. Para dejar nuevas preguntas deberás hacerlo allí, donde además podrás encontrar nuevas asignaturas y herramientas para ayudarte más con tus estudios.

  • icon

    Andres Calle Ramirez
    el 20/6/17

    Simplifique la siguiente expresión:

     E = sen2x.cos2x + sen4 ÷ senx.cosx 

    replythumb_up0 voto/sflag
    icon

    Guillem De La Calle Vicente
    el 20/6/17

    Pon foto del enunciado original Andres.

    thumb_up0 voto/sflag
  • icon

    Gonzalo
    el 20/6/17

    Buenas, soy nuevo en esta página. He realizado el pago para obtener un plan, y el banco ha confirmado que el dinero ha sido retirado, pero la página me sigue considerando usuario "gratis".  Sé que este foro es sobre matemáticas, pero no encuentro como contactar con la página para que me ayuden. ¿Alguien puede ayudarme por favor?

    replythumb_up0 voto/sflag
    icon

    Antonius Benedictus
    el 20/6/17

    Queda informado el responsable informático.

    thumb_up0 voto/sflag
  • icon

    Paula Sánchez
    el 20/6/17

    Hola! Podrían realizarmela?

    replythumb_up0 voto/sflag
    icon

    Guillem De La Calle Vicente
    el 20/6/17


    thumb_up0 voto/sflag
    icon

    César
    el 20/6/17


    thumb_up0 voto/sflag
  • icon

    Paula Sánchez
    el 20/6/17

    Buenas tardes!

     Como la sigo? No sé qué pasó hacer ahora.

    Tiene quedar tg(a+b)

    Gracias

    replythumb_up0 voto/sflag
    icon

    César
    el 20/6/17


    thumb_up0 voto/sflag
  • icon

    Paula Sánchez
    el 20/6/17

    buenas tardes!! 

    Podrían mirarme el fallo y corregirla ya que debe dar 1?

    Gracias

    replythumb_up0 voto/sflag
    icon

    César
    el 20/6/17


    thumb_up0 voto/sflag
    icon

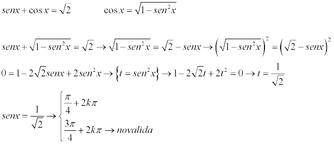
    Paula Sánchez
    el 20/6/17

    No entiendo el primer paso de todos, de donde sale 1/2?

    thumb_up0 voto/sflag
  • icon

    Paula Sánchez
    el 20/6/17

    Buenas tardes, el procedimiento sé qué está bien porque lo he corregido. Pero mi duda es si el último paso( lo señalado) está bien.


    replythumb_up0 voto/sflag
    icon

    Antonius Benedictus
    el 20/6/17

    Ángulos que tienen por seno 0:

    0º, 180º, -180º, 360º,-360º,.....

    En general k·180º  (con k, entero)

    EL SEGUNDO ESTÁ MAL:

    Ángulos cuyo seno vale 1/2:

    30º, 150º, 390º, -210º, -330º,....

    Ángulo cuyo seno vale  -1/2:

    -30º, 210º, -150º, 330º, -390º,....

    En general:   (+ -) 30º +k·180º


    thumb_up0 voto/sflag
  • icon

    Marc Elvira
    el 20/6/17

    Buenas, no se como resolver este problema:

    Encontrar el lugar geométrico de los puntos que equidistan de los planos siguientes:    π: 2x + y + z -3 = 0     π': 2x + y - z -3 = 0


    replythumb_up0 voto/sflag
    icon

    Antonius Benedictus
    el 20/6/17


    thumb_up1 voto/sflag
  • icon

    ViRR
    el 20/6/17

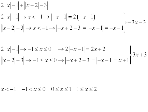
    ¡Buenos días! Estoy repasando para un examen y no sé resolver el siguiente ejercicio: 

    Desarrolla 2ΙΙxΙ-1Ι+ΙΙx+2Ι-3Ι

    ¡Muchas gracias!

    replythumb_up0 voto/sflag
    icon

    Guillem De La Calle Vicente
    el 20/6/17

    No entiendo lo de "desarrollar"... Pon foto de enunciado original, ArrVi.


    thumb_up0 voto/sflag
    icon

    ViRR
    el 20/6/17

    Ese es el enunciado, sería realizar esa operación de valores absolutos.

    thumb_up0 voto/sflag
    icon

    Antonius Benedictus
    el 20/6/17


    thumb_up0 voto/sflag
    icon

    César
    el 20/6/17

    Poco a poco 

    thumb_up0 voto/sflag
    icon

    César
    el 20/6/17

    Cuidado copie mal el enunciado, si te sirve perfecto

    thumb_up0 voto/sflag
  • icon

    fernando
    el 20/6/17

    un oposito ha estudiado 25 temas de los 40 que contiene el temario.  Si el examen consiste en contestar tres temas elegidos al azar entre todos los del temario, calcula la probabilidad de que el opositotor

    A) Haya estudiado los 3 temas

    B) Haya estudiado como minimoi, uno de los temas.


    A ver si alguien lo puede hacer a si veo si lo hice bien en el examen

    replythumb_up0 voto/sflag
    icon

    Antonius Benedictus
    el 20/6/17


    thumb_up0 voto/sflag
  • icon

    Guillem De La Calle Vicente
    el 20/6/17

    Calcula todas las potencias Ak de la matriz cuadrada de orden n, A=(aji) que tiene todos los coeficientes cero salvo los situados justo sobre la diagonal. En otras palabras,

    Indicación: Hacedlo primero para n=2, 3... Conjeturad qué pasará en general y demostradlo de la manera siguiente: suponed que es cierto para un cierto n=k y probadlo para n=k+1 calculando

    Ak+1=AAk.

    replythumb_up0 voto/sflag
    icon

    Antonius Benedictus
    el 20/6/17

    La generalización es obvia y la demostración por inducción, utilizando las propiedades de los números combinatorios.



    thumb_up0 voto/sflag
    icon

    Guillem De La Calle Vicente
    el 20/6/17

    Estaría bien si la descripción de la matriz fuese esta:

    1, si i≤j

    0, si i>j

    (una matriz triangular superior con todos los términos de la diagonal y sobre ella iguales a uno=.

    Pero en realidad la matriz que dan es esta:

    1, si i=j+1

    0, si i≠j+1

    Sólo son no nulos iguales a uno, los elementos justo encima de la diagonal. Por ejemplo para una matriz cuadrada de orden 4:

    0     1     0     0

    0     0     1     0

    0     0     0     1

    0     0     0     0

    thumb_up0 voto/sflag
    icon

    Antonius Benedictus
    el 20/6/17

    He leído con prisas. Lo siento, Guillem. De todos modos, me ha quedado bonito.

    thumb_up0 voto/sflag
    icon

    Antonius Benedictus
    el 20/6/17


    thumb_up0 voto/sflag