Hola, que tal? Me dieron esta derivada usando la regla de la cadena y queria saber si luego de hacer la regla de la cadena tengo que hacer la division de todo el ejercicio.
Muchas gracias.
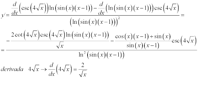
Y= cosec (4√x) / ln(senx (x-1))
Ahi tengo otra duda, ya que no se como derivar bien el 4√x
Espero que alguien me pueda ayudar, graciass

Debes corregir.
Observa que la expresión de la función es un cociente:
y = u/v, y la expresión de su función derivada queda:
y ' = ( u ' * v - u * v ' ) / v2.
Luego, tienes para el numerador de la expresión:
u = cos2x = (cosx)2, cuya derivada queda: u ' = 2*cosx*(- senx) = - 2*cosx*senx,
v = 2 + sen2x = 2 + (senx)2, cuya derivada queda: v ' = 0 + 2*senx*cosx = 2*senx*cosx.
Luego, sustituyes en la expresión de la función derivada y queda:
y' = ( -2*cosx*senx)*(2 + sen2x) - cos2x*2*senx*cosx ) / (2 + sen2x)2.
Luego puedes distribuir en el numerador y ordenar sus términos.
Espero haberte ayudado.

¡Hola! Nos encantaría ayudarte, pero no solemos responder dudas universitarias que no tengan que ver específicamente con los vídeos que David ha grabado como excepción. O de otras asignaturas que no sean Matemáticas, Física y Química. Lo sentimos de corazón… Esperamos que lo entiendas.
Ojalá algún unicoo universitario se anime a ayudarte (de hecho, lo ideal es que todos los universitarios intentarais ayudaros los unos a los otros).
en la solucion de sta expresion:(2xcuadrado+1)cuadrado -(2xcuadrado+1)*(2xcuadrado-1) sale 4xalla cuarta+4xal cuadrado+1(... no se de donde sale el 4x cuadrado

Tienes la expresión algebraica:
(2x2 + 1)2 - (2x2 + 1)*(2x2 - 1)
Ahora, considera a cada término por separado:
(2x2 + 1)2 = (2x2 + 1)*(2x2 + 1) = distribuyes = (2x2)2 + 2x2 + 2x2 + 1 = 4x4 + 4x2 + 1;
(2x2 + 1)*(2x2 - 1) = distribuyes = (2x2)2 - 2x2 + 2x2 - 1 = 4x4 - 1.
Luego, sustituyes cada término por su expresión equivalente en la expresión algebraica:
(2x2 + 1)2 - (2x2 + 1)*(2x2 - 1) = sustituyes:
= 4x4 + 4x2 + 1 - (4x4 - 1) = distribuyes el signo en el agrupamiento:
= 4x4 + 4x2 + 1 - 4x4 + 1 = cancelas términos opuestos y queda:
= 4x2 + 2.
Espero haberte ayudado.