4. Una empresa de alquiler de coches tiene dos tipos de oferta. En la primera cobran 120 € diarios más 0.20 € por kilómetro recorrido, en la segunda cobran 112 € diarios más 0’30 € por kilómetro recorrido. Se pide: a) La función que relaciona el coste diario con el número de kilómetros en cada una de las dos ofertas. b) Si pretendemos gastarnos 184 €, ¿cuántos km podemos recorrer en cada una de las dos ofertas? c) ¿Cuántos km tenemos que recorrer para pagar lo mismo en ambas ofertas?
No se resolver el apartado c me ayudan porfa.
Es para la prueba de aceso a superior.

Sea x la distancia recorrida, expresada en kilómetros, y llamamos y al costo de viaje, expresado en euros.
a)
Para la primera empresa tienes: y = 120 + 0,20x.
Para la segunda empresa tienes: y = 112 + 0,30x.
b)
Para la primera empresa, plantea:
120 + 0,20x = 184, haces pasaje de término y queda:
0,20x = 64, haces pasaje de factor como divisor y queda:
x = 320 Km.
Para la segunda empresa, plantea:
112 + 0,30x = 184, haces pasaje de término y queda:
0,30x = 72, haces pasaje de factor como divisor y queda:
x = 240 Km.
c)
Plantea la igualdad entre los costes:
120 + 0,20x = 112 + 0,30x, haces pasajes de términos y queda:
- 0,10x = - 8, haces pasaje de factor como divisor y queda:
x = 80 Km,
para la que corresponde un coste:
y = 120 + 0,20*80 = 120 + 16 = 136 euros en la primera empresa,
y = 112 + 0,30*80 = 112 + 24 = 136 euros en la segunda empresa.
Espero haberte ayudado.
Alguien me puede explicar como calcular el área de una sección rectangular de 200 x 80 mm con un grossor de e=1,5mm
Yo he hecho esto: A= (200-1,5) x (80-1,5)= 15582mm2
pero me da mal

Vamos a ver, Daniel. Pon el enunciado original para que no haya confusiones. Yo he hallado el área total de la sección, que no es más que el área total de un prisma. No había visto lo que has puesto de tensión normal.
Así pues, para una correcta respuesta, sube el enunciado original, por favor.
Un Saludo.
Hola foro. Ando de cabeza con este ejercicio.
En el me piden que determine el valor de m para que todos los puntos pertenezcan al mismo plano. Para ello he intentado calcular la ecuación del plano con el punto B y los vectores BC y BD.
Pero al sacar la ecuación de plano luego no se cumple con ningún punto.
En que me estoy equivocando?

Muchas gracias Antonio una vez mas.
Podría decirme en que me equivoco para obtener la ecuación del plano?
Ahora ya entiendo su método y se que es más fácil.
Pero me gustaría saber porque lo de averiguar la ecuación de un plano con un punto y dos vectores no me ha servido esta vez.
Solo para seguir entendiendo la materia.
Un saludo.

Muchísimas gracias a los dos.. Llevo todo el día con cálculos y al final uno se satura.
Y no hay nada mejor que alguien que le eche un ojo para ver un error tan simple pero que no conseguía encontrar.
Y me alegra que no haya sido un error de teoría. Si no de una suma mal hecha.
Muchas gracias y un saludo!
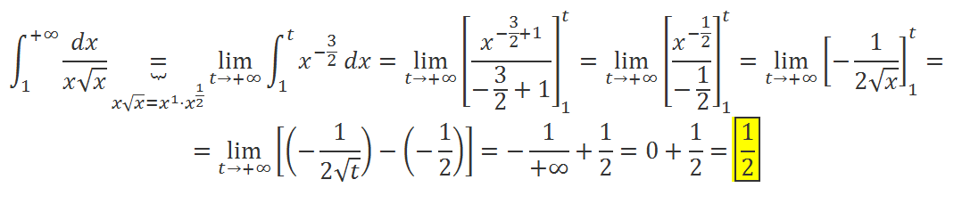
3√20/3+ 2√60 + 3√500/3 -5√15
Otra forma...
3√20/3+ 2√60 + 3√500/3 -5√15
=√9*20/3+ 2√60 + √9*500/3 -5√15 /si "metemos" los números que están multiplicando al primer y al tercer termino podemos simplificar
=√60 +2√60+√1500-5√15 / debemos notar que hay que dejar todos los términos con raíz de 15 para poder sumarlos
=√15*22 +2√15*22 +√15*102 - 5√15 /sacamos los términos al cuadrado
=2√15 +4√15+10√15 - 5√15 /sumamos
=11√15