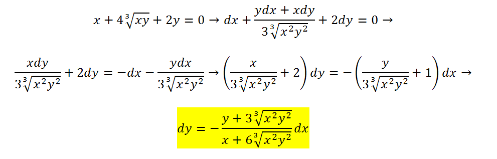
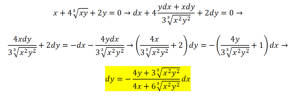
Se extrae una bola de una urna con siete bolas rojas numeradas del 1 al 7 , cuatro bolas azules numeradas del 1 al 8 y tres bolas verdes numeradas del 12 al 14. Calcula la probabilidad de :
a) el numero de la bolsa sea multiplo de 5
b)El numero de la bola sea mayor que 8 pero menor que 13
c)El numero de la bola sea impar y la bola de color azul o verde
Te ayudo con el a)
La dificultad está en las bolas azules, no se sabe su constitución exacta. Habrían cuaternas que contienen al 5 y otras que no contienen al 5, la urna está indeterminada, hay todo un conjunto de urnas posibles tantas como cuaternas diferentes de bolas azules existen (8 4). La extracción de un bola en forma aleatoria, queda determinada por un par ordenado, en donde el primer elemento es la urna 1,2.. (8 4) y el segundo elemento una bola, caracteriza obviamente por su color y su número, 14 posibles. En estas condiciones podemos calcular la probabilidad.
Total de resultados posibles (pares ordenados urna, bola), n=14(8 4)
Número de resultados posibles en donde hay una bola con un número múltiplo de 5, m. Sólo hay dos posibilidades 5 rojo ó 5 azul, el 5 rojo está en todas las urnas posible luego hay (8 4) resultados posibles con 5 rojo. Por otra parte el 5 azul únicamente está (7 3) urnas, en consecuencia hay (7 3) resultados posibles con 5 azul. Por lo tanto m=(8 4)+(7 3)
La probabilidad será: P=m/n
Nota: (x y) son números combinatorios.
En la nevera de Jose hay 5 refrescos de cola 8 de naranja y 2 de limon . Primero coje uno al azar.En el caso de que sea de limon o cola, repite tomandose un segundo refresco escogido tambien al azar.Calcula la probabilidad de:
a)Se tome dos refrescos de limon : ¿Este apartado sería 2/15 x 2/15 ?
b)Se tome uno de cola y otro de limón : 5/15 x 2/14
c)Se tome el primero de cola y el segundo de naranja : 5/15 x 8/14
¿Está bien resuelto el ejercicio ? en el caso de que esten los 3 apartados bien ,¿ por que el a es 2/15 x 2/15 ? ¿no sería 2/15 x 1/14?
a)Se tome dos refrescos de limon : Este apartado sería 2/15 x 1/14
b)
- Se tome primero uno de cola y luego de limón: 5/15 x 2/14
- Se tome primero uno de limón y luego de cola: 2/15 x 5/14
por lo tanto:
- Se tome uno de cola y otro de limón : 5/15 x 2/14 + 2/15 x 5/14 = 2 X 5/15 x 2/14
c)Se tome el primero de cola y el segundo de naranja : 5/15 x 8/14

Tienes la ecuación matricial:
A*B = O,
multiplicas a izquierda por la matriz inversa de A en ambos miembros y queda:
A-1*(A*B) = A-1*0,
aplicas la propiedad asociativa en el primer miembro, resuelves el segundo miembro y queda:
(A-1*A)*B = O,
resuelves el producto entre matrices inversas en el primer miembro y queda:
In*B = O,
aplicas la propiedad de existencia del elemento neutro en el primer miembro y queda:
B = O;
y tienes justificado que la opción (a) es la respuesta correcta.
Espero haberte ayudado.

Vamos con otra forma.
Observa que puedes reescribir la expresión de la función como una potencia:
y = √(3x - 2) = (3x - 2)1/2,
luego, aplicas la regla de la cadena (observa que debes derivar primero la potencia con exponente fraccionario) y queda:
y ' = (1/2)*(3x - 2)-1/2*3 = (3/2)*( 1/(3x - 2)1/2 ) = (3/2)*( 1/√(3x - 2) ) = 3 / ( 2*√(3x - 2) ).
Observa que hemos obtenido la misma expresión que indica el colega Andrés.
Espero haberte ayudado.