hola sera que podrian ayudarme con algo:
El área de un triángulo es S = 8 unidades cuadradas; dos de sus vértices son los puntos A(1;-2) , B(2;3) y el tercer vértice está en la recta : 2x + y - 2 = 0. Determinar las coordenadas del vértice C.
se los agradeceria mucho
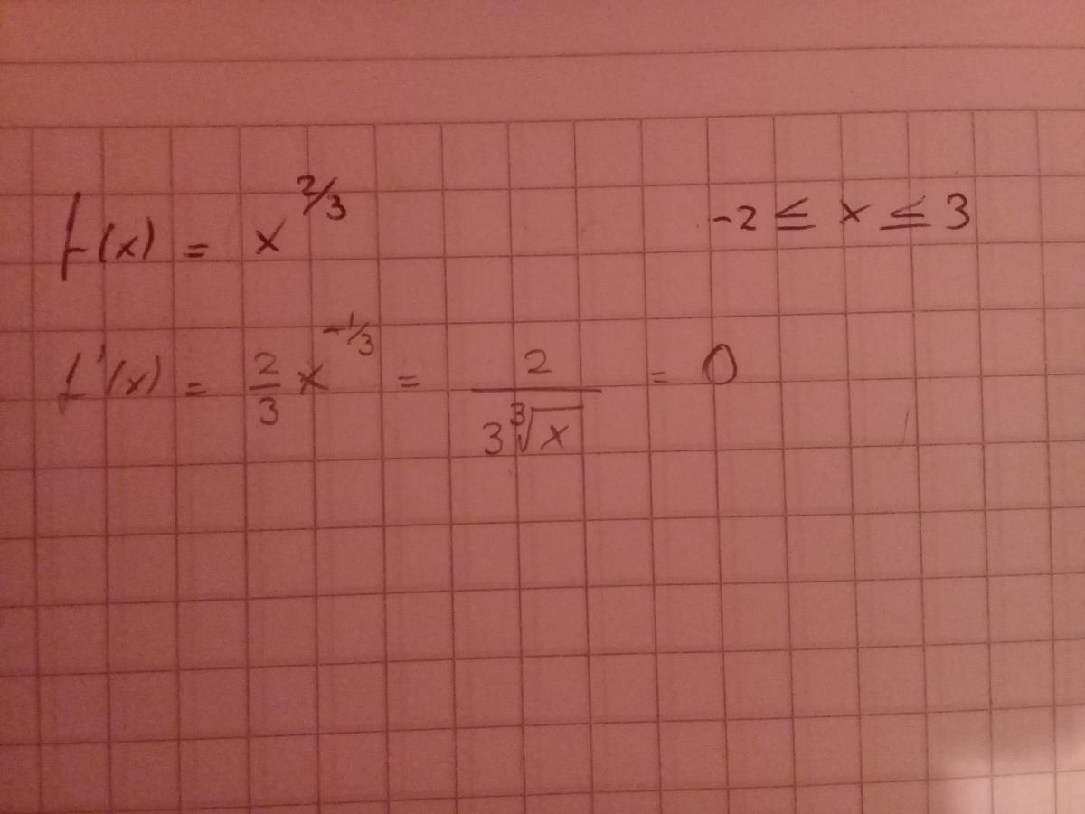
Hola Unicoos, tengo una duda. Luego de derivar f(x)= x^2/3 me queda f´(x)= 2/(3 por raiz cubica de x) y se me pide encontrar X para que la función se iguale a cero como debo hacerlo? ![]()

Tienes la función cuya expresión es:
f(x) = x2/3 = ∛(x2), cuyo dominio es D = R.
Luego, has planteado correctamente la expresión de la función derivada:
f ' (x) = (2/3)x-1/3 = 2 / (3x1/3) = 2 / ( 3∛(x) ), cuyo dominio es: D1 = R - {0} ⊂ D.
Luego, plantea la condición de punto crítico (posible máximo o posible mínimo):
a) f ' (x) = 0, o b) f ' (x) no está definida.
Luego, trata cada opción por separado:
a)
f ' (x) = 0, sustituyes y queda:
2 / ( 3∛(x) ) = 0, haces pasaje de divisor como factor y queda:
2 = 0, que es una identidad absurda, por lo que tienes que no hay puntos críticos a partir de esta opción;
b)
f ' (x) no está definida en x = 0 que no pertenece a su dominio D1 pero si pertenece al dominio de la función,
observa que para x = 0, para el que la función toma el valor: y = f(0) = ∛(02) = ∛(0) = 0,
tienes que la función derivada primera no está definida.
Luego, para confirmar el carácter del punto crítico, evalúa en la función y en la función derivada para puntos cercanos a él:
Para x = - 1 tienes: f(-1) = ∛( (-1)2 ) = 1, y f ' (-1) = 2 / ( 3∛(-1) ) = - 2/3 < 0,
por lo que tienes que la gráfica de la función es decreciente para x = - 1.
Para x = 1 tienes: f(1) = ∛(12) = 1, y f ' (1) = 2 / ( 3∛(1) ) = 2/3 > 0,
por lo que tienes que la gráfica de la función es creciente para x = 1.
Luego, puedes concluir que la gráfica de la función:
es decreciente en el intervalo (-∞,0),
presenta un mínimo absoluto en x = 0, para el que la función toma el valor y = 0,
es creciente en el intervalo (0,+∞).
Si recurres a un graficador, observa que la gráfica presenta un punto anguloso (pico) en el origen de coordenadas.
Espero haberte ayudado.
Si lanzo dos dados, ¿cuál será la probabilidad de obtener un número que no sea primo?

Indicamos los valores posibles de obtener al tirar dos dados con parejas.
Observa que si lanzas dos dados, el valor mínimo que puedes obtener es 2 (11) y el máximo es 12 (66),
y observa que tienes 36 resultados posibles (11, ..., 16, 21, ... 26, 31, ... 36, 41, ... 46, 51, ... 56, 61, ... 66),
y observa que la probabilidad de cada resultado individual es 1/36.
Luego, los valores que no son primos para este experimento son: 4 (13, 22, 31), 6 (15, 24, 33, 42 y 51), 8 (26, 35, 44, 53 y 62), 9 (36, 45, 54 y 63), 10 (46, 55 y 64) y 12 (66).
Luego, calcula las probabilidades para cada resultado favorable:
p(4) = 3/36, p(6) = 5/36, p(8) = 5/36, p(9) = 4/36, p(10) = 3/36 y p(12) = 1/36.
Luego, para el suceso S: "sale un número que no es primo", tienes:
p(S) = (3 + 5 + 5 + 4 + 3 + 1)/36 = 21/36 = 7/12.
Espero haberte ayudado.
log 10√A * B / C2 --- ( Log A = 2 , Log B = 3 , Log C = 4)
alguien me puede ayudar con esto?
De antemano decir que esta duda no tiene que ver con matemáticas, pero no sé donde ponerla y necesito consejo. Verán, ya acabó selectividad y ahora toca elegir carrera, la duda va para David o cualquiera que haya estudiado Ingeniería de Tecnologías de Telecomunicaciones. Mi duda es saber de que trata la carerra, si es tan dificil como he leido y si pueden contarme su experiencia un poco. Estoy realmente en crisis ya que ninguna carrera termina de llamarme la atención pero tengo que elegir y esa es una que viendo las asignaturas es la que más me atrae. Supongo que habrá cambiado desde que la cursaron o tal vez no pero pido su consejo por favor
Consulta, estoy cometiendo un error en este ejercicio, no me da el resultado, cómo se calcula?
Se sabe que 2a y 3b representan variables directamente proporcionales. Cuando a = 6, b = 8, entonces, ¿cuál es el valor de 2b cuando a = 12?
Puedes llamar:
x = 2a (primera variable), e y = 3b (segunda variable),
luego, como sabes que son directamente proporcionales puedes plantear (llamamos k a la constante de proporcionalidad):
y = k*x, sustituyes y queda:
3b = k*2a, con k ≠ 0 (1).
Luego reemplazas los valores del enunciado (a = 6 y b = 8) y queda:
3*8 = k*2*6, de donde despejas: 2 = k,
luego reemplazas en la ecuación señalada (1) y queda:
3b = 2*2a, resuelves el segundo miembro y queda:
3b = 4a (2).
Luego, reemplazas el valor de a que tienes en la pregunta del enunciado (a = 12) y queda:
3b = 4*12, de donde puedes despejar: b = 16,
luego tienes para responder:
2b = 2*16 = 32.
Espero haberte ayudado.
Ya de entrada empezaría suponiendo que para que el sistema sea compatible indeterminado el rango de A y de A* deberían ser iguales y menores que el número de incógnitas, y como además me pide que tenga dos variables libres, el rango de ambos debería ser 1? Y después como haría para hallar a y b?
Aclaro que, si es posible, prefiero resolver los rangos por Gauss, porque no logro entender como resolver los rangos por determinantes.
Gracias!
Para hallar los rangos por determinantes, tienes que buscar el rango del mayor menor no nulo. Para ello, se selecciona uno distinto de 0, digamos de orden k, y se completa (se "orla") de todas las formas posibles a un menor de orden k+1. Si todos son nulos, el rango es k.
En este caso, para que se cumpla las condiciones, el rango de la matriz de coeficientes debe ser 1. Si empiezas por ejemplo con el 2 de la tercera fila y tercera columna, ya tienes que el rango es al menos 1 siempre. Si lo completas con la segunda fila y segunda columna, tienes:
Det=-2a
Luego para que el rango no sea 2, debe ser a=0.
El rango de la matriz de coeficientes ya es 1, valga lo que valga b. Solo nos queda asegurarnos de que el de la matriz ampliada también es 1, pero ya nos podemos olvidar de las dos primeras columnas, que son nulas. Enseguida llegas a que tiene que ser b=2.
No obstante, coincido contigo que para un sistema con parámetros puede ser bastante más engorroso que por Gauss.